Đề thi khảo sát chất lượng đầu vào môn Toán lớp 8 trường THCS Bắc Hưng, Tiên Lãng năm 2015 - 2016
Đề thi khảo sát chất lượng đầu vào môn Toán lớp 8
Đề thi khảo sát chất lượng đầu vào môn Toán lớp 8 trường THCS Bắc Hưng, Tiên Lãng năm 2015 - 2016 là đề kiểm tra đầu năm học nhằm đánh giá chất lượng học tập của học sinh từ lớp 7 lên lớp 8. Tài liệu bao gồm đáp án và đề thi môn Toán, giúp các em học sinh tự luyện tập và củng cố kiến thức hiệu quả. Mời các bạn tham khảo.
Đề thi khảo sát chất lượng đầu năm môn Ngữ văn lớp 8 trường THCS Thanh Thùy, Hà Nội năm 2015 - 2016
| PHÒNG GDĐT TIÊN LÃNG Trường THCS Bắc Hưng |
ĐỀ THI KHẢO SÁT CHẤT LƯỢNG ĐẦU NĂM Môn: Toán - Lớp: 8 Năm học: 2015- 2016 Thời gian làm bài 90 phút (Không tính thời gian phát đề) |
I – Trắc nghiệm (2,0 điểm).
Trả lời câu hỏi bằng cách khoanh tròn vào chữ cái trước đáp án đúng.
Câu 1. Đơn thức đồng dạng với đơn thức – 2x2y là:
A.- 2xy2 B. x2y C. – 2x2y2 D. 0x2y
Câu 2. Đơn thức 1/3 x3y4z5 có bậc là:
A. 3 B. 4 C. 5 D. 12
Câu 3. Kết quả đúng của phép tính ¾ -1/3 là:
A.-5/12 B. 5/12 C. -2 D. 2
Câu 4. Cho a, b, c là các đường thẳng phân biệt. Nếu ac và bc thì:
A. a cắt b B. ab C. a // b D. a ≡ b
Câu 5. Từ tỉ lệ thức a/b = c/d với a, b, c, d khác 0 ta suy ra tỉ lệ thức:
A. a/c = b/d B. a/b = d/c C. d/b = a/c D. a/b = b/c
Câu 6. Tam giác ABC vuông tại A biết AB = 18cm, AC = 24cm, chu vi tam giác ABC là:
80cm B. 92cm C. 72cm D. 82cm
Câu 7. Bộ ba đoạn thẳng nào sau đây không là 3 cạnh của một tam giác:
A. 3 cm; 4 cm; 5 cm B. 6 cm; 9 cm; 12 cm
C. 2 cm; 4 cm; 6 cm D. 5 cm; 8 cm; 10 cm
Câu 8. Biết x/7 = y/3 và x + y = 110. Ta tìm được x và y là:
A. x = 65, y = 45 B. x = 77, y = 33
C. x = 80, y = 30 D. x =77, y =33
II – Tự luận (8,0 điểm).
Bài 1. (2,0 điểm). Điểm thi khảo sát chất lượng đầu năm môn Toán của lớp 8A được ghi lại như sau:
![]()
a. Dấu hiệu ở đây là gì?
b. Tính số trung bình cộng của dấu hiệu.
Bài 2 (2,0 điểm). Cho các đa thức: ![]()
a. Tìm. M(x) = P(x) + Q(x)
b. Chứng tỏ rằng đa thức M(x) không có nghiệm.
Bài 3 (3,0 điểm). Cho tam giác ABC vuông tại A có AB = 4 cm, AC = 3 cm.
a. Tính BC?
b. Trên cạnh AC lấy điểm E sao cho AE = 1 cm, trên tia đối của tia AB lấy điểm D sao cho AD = AB. Chứng minh rằng Δ BEC = Δ DEC.
c. Chứng minh rằng DE đi qua trung điểm của cạnh BC.
Bài 4 (1,0 điểm).
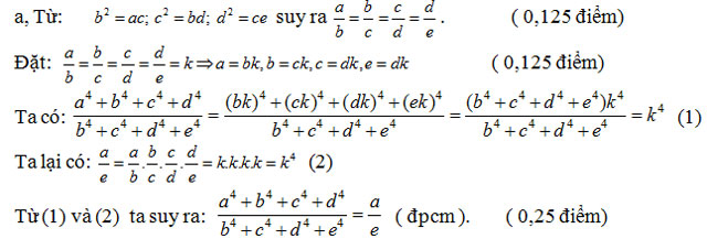
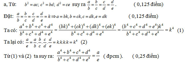
a. Cho năm số a, b, c, d, e khác 0 thỏa mãn điều kiện b2=ac; c2= bd; d2=ce
Chứng minh rằng: ![]()
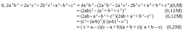
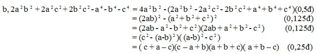
b. Phân tích đa thức sau thành nhân tử: 2a2b2 + 2a2c2 + 2b2c2 – a4– b4– c4
Đáp án đề thi khảo sát chất lượng đầu vào môn Toán lớp 8
I – Trắc nghiệm (2,0 điểm). Mỗi câu đúng được 0,25 điểm.
| Câu | 1 | 2 | 3 | 4 | 5 | 6 | 7 | 8 |
| Đáp án | B | D | B | C | A | C | C | B |
II – Tự luận (8,0 điểm).
Bài 1 (2,0 điểm).
a. Dấu hiệu là: "Điểm thi khảo sát chất lượng đầu năm môn Toán của lớp 8A" (1,0 điểm)
b. X ≈ 7,1(1,0 điểm)
Bài 2 (2,0 điểm).
a) M(x) = P(x) + Q(x) = x2 + 8 (1,0 điểm)
b) Ta có M (x) = x2 + 8 > 0 với mọi x do đó M(x) không có nghiệm. (1,0 điểm)
Bài 3 (3,0 điểm).
Vẽ hình và ghi GT + KL đúng (0,5 điểm)
a) Tính được BC = 5 cm (1,0 điểm)
b) Chứng minh được ΔBEC = ΔDEC (1,0 điểm)
c) Chỉ ra được điểm E là trọng tâm của tam giác BCD suy ra DE thuộc đường trung tuyến kẻ từ đỉnh D của tam giác BCD suy ra DE đi qua trung điểm của cạnh BC. (0,5 điểm)
Bài 4 (1,0 điểm).

