Giao diện mới của VnDoc Pro: Dễ sử dụng hơn - chỉ tập trung vào lớp bạn quan tâm. Vui lòng chọn lớp mà bạn quan tâm: Lưu và trải nghiệm
Đóng
Điểm danh hàng ngày
  • Hôm nay +3
  • Ngày 2 +3
  • Ngày 3 +3
  • Ngày 4 +3
  • Ngày 5 +3
  • Ngày 6 +3
  • Ngày 7 +5
Bạn đã điểm danh Hôm nay và nhận 3 điểm!
Nhắn tin Zalo VNDOC để nhận tư vấn mua gói Thành viên hoặc tải tài liệu Hotline hỗ trợ: 0936 120 169

Đề thi khảo sát chất lượng Học sinh giỏi TP Vinh năm 2012 - 2013 - Lớp 8

Loại File: PDF
Phân loại: Tài liệu Tính phí

PHÒNG GIÁO DỤC VÀ ĐÀO TẠO
THÀNH PHỐ VINH

ĐỀ KHẢO SÁT CHẤT LƯỢNG HỌC SINH GIỎI
NĂM HỌC: 2012 - 2013

MÔN THI: TOÁN - LỚP 8

Bài 1. (4 điểm)

a. Cho x = by + cz; y = cz + ax; z = ax + by và x + y + z # 0

Chứng minh:

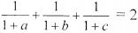
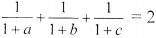
b. Giải phương trình (a là hằng số)

Bài 2. (5 điểm)

a. Với a, b là các số nguyên. Chứng minh rằng nếu 4a2 + 3ab - 11b2 chia hết cho 5 thì a4 - b4 chia hết cho 5.

b. Tìm số dư trong phép chia của biểu thức (x + 1)(x + 3)(x + 5)(x + 7) + 2013 cho đa thức x2 + 8x + 12

Bài 3. (3 điểm)

Cho x > 0, y ≥ 0 thỏa mãn x3 + y3 = x - y. Tìm giá trị lớn nhất của biểu thức A = x2 + y2

Bài 4: (6 điểm)

Cho ΔABC cân tại A (góc A < 60o). Trên một nửa mặt phẳng bờ AC chứa điểm B vẽ tia Ax sao cho góc CAx = ACB. Gọi E là điểm đối xứng với C qua Ax. Nối BE cắt Ax tại D. Các đường thẳng CD và CE cắt AB lần lượt tại I và K.

a. Chứng minh ACDE là hình thoi.

b. Chứng minh: AK.BA = BK.AI.

c. Gọi d là đường thẳng đi qua A không cắt cạnh BC. Xác định vị trí điểm M trên đường thẳng d sao cho chu vi tam giác MBC nhỏ nhất.

Bài 5: (2 điểm)

Cho hình vuông ABCD có cạnh bằng 1. M là điểm nằm trên đoạn BC. Đường vuông góc với AM tại M cắt cạnh CD tại N. Tìm vị trí điểm M để CN có độ dài lớn nhất.

MÔN THI: NGỮ VĂN - LỚP 8

Câu 1: (8 điểm)

"Bài thơ Quê hương của Tế Hanh cho thấy tình cảm quê hương trong sáng tha thiết của nhà thơ", hãy làm sáng tỏ.

Câu 2: (2 điểm)

Dựa vào đoạn văn Trong lòng mẹ, trích hồi ký "Những ngày thơ ấu" của Nguyên Hồng làm rõ tình yêu thương cháy bỏng của nhà văn thời thơ ấu đối với người mẹ bất hạnh.

MÔN THI: HÓA HỌC - LỚP 8

Câu 1: (3 điểm)

Cân bằng các phản ứng hóa học sau:

a. Al2(SO4)3 + KOH -> KAlO2 + K2SO4 + H2O

b. FexOy + CO -> FeaOb + CO2

c. CnH2n-2 + O2 -> CO2 + H2O

d. Fe3O4 + HCl -> FeCl2 + FeCl3 + H2O

e. M + HCl -> MCln + H2

f. FexOy + H2SO4 -> Fe2(SO4)3 + SO2 + H2O

Câu 2: (4 điểm)

Đốt cháy phốt pho trong không khí thu được chất rắn A, hòa tan A vào nước dư thu được dung dịch B. Cho kim loại natri dư vào dung dịch B thu được dung dịch C và khí D. Dẫn khí D đi qua hỗn hợp bột E gồm Al2O3, Fe3O4, CuO nung nóng thu được hỗn hợp kim loại F. Viết các phương trình hóa học xảy ra và cho biết A, B, C, D, F là những chất gì?

Câu 3: (4 điểm)

Cho các kim loại: K, Al, Fe và dung dịch HCl:

a. Nếu lấy cùng một khối lượng kim loại trên cho tác dụng hết với dung dịch HCl thì kim loại nào cho nhiều khí hidro nhất?

b. Nếu thu được cùng một thể tích khí hidro thì khối lượng kim loại nào dùng ít nhất?

Câu 4: (5 điểm)

Cho 17,92 lít hỗn hợp khí X gồm hidro và butan (C4H10) ở điều kiện tiêu chuẩn có tỷ khối so với oxi là 0,5. Đốt hỗn hợp X với 64 gam khí oxi. Sau khi phản ứng xảy ra hoàn toàn thu được hỗn hợp khí Y.

a. Viết phương trình hóa học xảy ra.

b. Tính thành phần phần trăm thể tích mỗi khí trong hỗn hợp Y.

Câu 5: (4 điểm)

Hỗn hợp khí A gồm a mol SO2 và 5a mol không khí. Nung nóng hỗn hợp A với V2O5 xúc tác thu được hỗn hợp khí B. Biết rằng tỉ khối hơi của A so với B bằng 0,93. Hãy tĩnh hiệu suất phản ứng trên với giả thiết không khí có chứa 80% thể tích là N2 và 20% thể tích là O2.

Chọn file muốn tải về:
Đóng Chỉ thành viên VnDoc PRO/PROPLUS tải được nội dung này!
Đóng
79.000 / tháng
Đặc quyền các gói Thành viên
PRO
Phổ biến nhất
PRO+
Tải tài liệu Cao cấp 1 Lớp
30 lượt tải tài liệu
Xem nội dung bài viết
Trải nghiệm Không quảng cáo
Làm bài trắc nghiệm không giới hạn
Mua cả năm Tiết kiệm tới 48%
Xác thực tài khoản!

Theo Nghị định 147/2024/ND-CP, bạn cần xác thực tài khoản trước khi sử dụng tính năng này. Chúng tôi sẽ gửi mã xác thực qua SMS hoặc Zalo tới số điện thoại mà bạn nhập dưới đây:

Số điện thoại chưa đúng định dạng!
Số điện thoại này đã được xác thực!
Bạn có thể dùng Sđt này đăng nhập tại đây!
Lỗi gửi SMS, liên hệ Admin
Sắp xếp theo
🖼️

Thư viện Học liệu

Xem thêm
🖼️

Gợi ý cho bạn

Xem thêm