Đề thi KSCL chất lượng học kì 2 môn Toán lớp 6 năm học 2016 - 2017
Đề thi KSCL chất lượng học kì 2 môn Toán lớp 6
Đề thi KSCL chất lượng học kì 2 môn Toán lớp 6 năm học 2016 - 2017 là tài liệu luyện thi học kỳ 2 lớp 6 rất hiệu quả. Đây cũng là tài liệu tham khảo môn Toán giúp các bạn học sinh lớp 6 ôn tập lại kiến thức, nhằm học tập môn toán tốt hơn, đạt điểm cao trong bài thi học kì 2, thi cuối kì. Mời các bạn tham khảo.
Đề thi học kì 2 môn Toán lớp 6 phòng GD&ĐT Đại Thành, Bắc Giang năm 2015 - 2016
Đề thi học kì 2 môn Toán lớp 6 phòng GD&ĐT Tam Đảo, Vĩnh Phúc năm 2015 - 2016
Đề thi học kì 2 môn Toán lớp 6 trường THCS Huỳnh Thúc Kháng, Buôn Ma Thuột năm 2015 - 2016
| Họ và tên:.......................... Lớp: ........ |
ĐỀ THI KSCL CHẤT LƯỢNG HKII Năm học 2016 - 2017 Môn thi: Toán 6 (Thời gian làm bài 60 phút) |
ĐỀ BÀI:
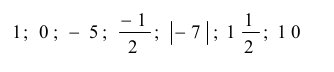
Câu 1: (1 điểm) Sắp xếp các số sau theo thứ tự tăng dần?

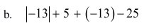
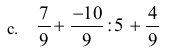
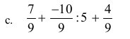
Câu 2: (2 điểm) Thực hiện phép tính?
![]()
![]()
![]()
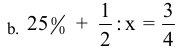
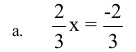
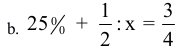
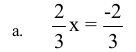
Câu 3: (2 điểm) Tìm x
![]()
![]()
Câu 4: (2,5 điểm)
Một khu vườn hình chữ nhật có chiều rộng bằng 80m, chiều dài bằng 7/4 chiều rộng. Người ta để 1/4 diện tích khu vườn trồng cây cam, 3360m2 dùng để trồng cây táo, diện tích còn lại trồng cây xoài.
a. Tìm diện tích trồng xoài.
b. Tính xem diện tích trồng xoài chiếm bao nhiêu phần trăm diện tích khu vườn.
Câu 5: (2,5 điểm)
