Đề thi minh họa THPT Quốc Gia năm 2017 - 2018 môn Sinh học
Đề thi minh họa THPT Quốc Gia môn Sinh học
Đề thi minh họa THPT Quốc Gia năm 2017 - 2018 môn Sinh học bao gồm 50 câu hỏi được Bộ GD&ĐT công bố mới nhất cho các em học sinh tham khảo, luyện tập. Đây sẽ là tài liệu tham khảo hay giúp các bạn có thể thử sức trước các kì thi quan trọng sắp tới. VnDoc.com mời các bạn tham khảo đề thi minh họa THPT Quốc gia môn Sinh.
|
BỘ GD&ĐT ĐỀ THAM KHẢO |
KỲ THI TRUNG HỌC PHỔ THÔNG QUỐC GIA NĂM 2018 Bài thi: KHOA HỌC TỰ NHIÊN Môn thi thành phần: SINH HỌC Thời gian làm bài: 50 phút, không kể thời gian phát đề Mã đề thi 001 |
Câu 81. Nhóm vi khuẩn nào sau đây có khả năng chuyển hóa NO-3 thành N2?
A. Vi khuẩn amôn hóa. B. Vi khuẩn cố định nitơ.
C. Vi khuẩn nitrat hóa. D. Vi khuẩn phản nitrat hóa.
Câu 82. Động vật nào sau đây có dạ dày đơn?
A. Bò. B. Trâu. C. Ngựa. D. Cừu.
Câu 83. Ở ngô, quá trình thoát hơi nước chủ yếu diễn ra ở cơ quan nào sau đây?
A. Lá. B. Rễ. C. Thân. D. Hoa.
Câu 84. Hệ mạch máu của người gồm: I. Động mạch; II. Tĩnh mạch; III. Mao mạch. Máu chảy trong hệ mạch theo chiều:
A. I → III → II. B. I → II → III. C. II → III → I. D. III → I → II.
Câu 85. Ở sinh vật nhân thực, côđon 5’AUG 3’ mã hóa loại axit amin nào sau đây?
A. Valin. B. Mêtiônin. C. Glixin. D. Lizin.
Câu 86. Biết rằng không xảy ra đôṭ biến. Theo lí thuyết, phép lai AABb × aabb cho đời con có bao nhiêu loaị kiểu gen?
A. 1. B. 2. C. 3. D. 4.
Câu 87. Một quần thể thực vật đang ở trạng thái cân bằng di truyền có tần số alen A là 0,3. Theo lí thuyết, tần số kiểu gen AA của quần thể này là
A. 0,42. B. 0,09. C. 0,30. D. 0,60.
Câu 88. Ở sinh vật nhân thực, nhiễm sắc thể được cấu trúc bởi 2 thành phần chủ yếu là:
A. ADN và prôtêin histôn. B. ADN và mARN.
C. ADN và tARN. D. ARN và prôtêin.
Câu 89. Theo thuyết tiến hóa hiện đại, nhân tố tiến hóa nào sau đây không làm thay đổi tần số alen của quần thể?
A. Đột biến. B. Các yếu tố ngẫu nhiên.
C. Chọn lọc tự nhiên. D. Giao phối không ngẫu nhiên.
Câu 90. Theo thuyết tiến hóa hiện đại, quá trình phát sinh và phát triển của sự sống trên Trái Đất gồm các giai đoạn sau:
I. Tiến hóa hóa học. II. Tiến hóa sinh học. III. Tiến hóa tiền sinh học.
Các giai đoạn trên diễn ra theo thứ tự đúng là:
A. I → III → II. B. II → III → I. C. I → II → III. D. III → II → I.
Câu 91. Ở miền Bắc Việt Nam, năm nào có nhiệt độ môi trường xuống dưới 8oC thì năm đó có số lượng bò sát giảm mạnh. Đây là ví dụ về kiểu biến động số lượng cá thể
A. không theo chu kì. B. theo chu kì ngày đêm.
C. theo chu kì mùa. D. theo chu kì nhiều năm.
Câu 92. Trong chu trình cacbon, CO2 từ môi trường đi vào quần xã sinh vật thông qua hoạt động của
nhóm sinh vật nào sau đây?
A. Sinh vật sản xuất. B. Sinh vật tiêu thụ bậc 1.
C. Sinh vật tiêu thụ bậc 3. D. Sinh vật tiêu thụ bậc 2.
Câu 93. Để tìm hiểu về quá trình hô hấp ở thực vật, một bạn học sinh đã làm thí nghiệm theo đúng quy trình với 50g hạt đậu đang nảy mầm, nước vôi trong và các dụng cụ thí nghiệm đầy đủ. Nhận định nào sau đây đúng?
A. Thí nghiệm này chỉ thành công khi tiến hành trong điều kiện không có ánh sáng.
B. Nếu thay hạt đang nảy mầm bằng hạt khô thì kết quả thí nghiệm vẫn không thay đổi.
C. Nếu thay nước vôi trong bằng dung dịch xút thì kết quả thí nghiệm cũng giống như sử dụng nước vôi trong.
D. Nước vôi trong bị vẩn đục là do hình thành CaCO3.
Câu 94. Khi nói về độ pH của máu ở người bình thường, phát biểu nào sau đây đúng?
A. Độ pH trung bình dao động trong khoảng 5,0 - 6,0.
B. Hoạt động của thận có vai trò trong điều hòa độ pH.
C. Khi cơ thể vận động mạnh luôn làm tăng độ pH.
D. Giảm nồng độ CO2 trong máu sẽ làm giảm độ pH.
Câu 95. Dạng đột biến nào sau đây làm tăng số lượng alen của một gen trong tế bào nhưng không làm
tăng số loại alen của gen này trong quần thể?
A. Đột biến gen. B. Đột biến đa bội.
C. Đột biến đảo đoạn nhiễm sắc thể. D. Đột biến chuyển đoạn trong một nhiễm sắc thể.
Câu 96. Một gen ở sinh vật nhân sơ dài 323 nm và có số nuclêôtit loại timin chiếm 18% tổng số nuclêôtit
của gen. Theo lí thuyết, gen này có số nuclêôtit loại guanin là
A. 432. B. 342. C. 608. D. 806.
Câu 97. Ở ruồi giấm, alen A quy định mắt đỏ trội hoàn toàn so với alen a quy định mắt trắng. Biết rằngkhông xảy ra đột biến. Theo lí thuyết, phép lai nào sau đây cho đời con có kiểu hình phân li theo tỉ lệ: 2 ruồi cái mắt đỏ: 1 ruồi đực mắt đỏ : 1 ruồi đực mắt trắng?
A. XAXa × XAY. B. XAXA × XaY. C. XAXa × XaY. D. XaXa × XAY.
Câu 98. Khi nói về các nhân tố tiến hóa theo thuyết tiến hóa hiện đại, phát biểu nào sau đây đúng?
A. Đột biến tạo nguồn nguyên liệu thứ cấp cho quá trình tiến hóa.
B. Chọn lọc tự nhiên tác đôṇ g trưc̣ tiếp lên kiểu hình và gián tiếp làm biến đổi tần số kiểu gen của quầnthể.
C. Giao phối không ngâũ nhiên luôn làm tăng sự đa dạng di truyền của quần thể.
D. Di – nhập gen luôn làm thay đổi tần số alen của quần thể theo môṭ chiều hướng nhất điṇ h.
Câu 99. Khi kích thước của quần thể sinh vật vượt quá mức tối đa, nguồn sống của môi trường không đủ cung cấp cho mọi cá thể trong quần thể thì có thể dẫn tới khả năng nào sau đây?
A. Cạnh tranh giữa các cá thể trong quần thể giảm.
B. Các cá thể trong quần thể tăng cường hỗ trợ lẫn nhau.
C. Mức sinh sản của quần thể giảm.
D. Kích thước quần thể tăng lên nhanh chóng.
Câu 100. Khi nói về diễn thế sinh thái, có bao nhiêu phát biểu sau đây đúng?
I. Diễn thế thứ sinh khởi đầu từ môi trường chưa có sinh vật.
II. Song song với quá trình biến đổi quần xã là quá trình biến đổi về các điều kiện tự nhiên của môi trường.
III. Diễn thế sinh thái có thể xảy ra do tác động mạnh mẽ của ngoại cảnh lên quần xã.
IV. Sự cạnh tranh gay gắt giữa các loài trong quần xã là nhân tố sinh thái quan trọng làm biến đổi quần xã sinh vật.
A. 3. B. 4. C. 1. D. 2.
Câu 101. Khi nói về quá trình quang hợp ở thực vật, phát biểu nào sau đây đúng?
A. Sản phẩm của pha sáng tham gia trực tiếp vào giai đoạn chuyển hóa AlPG thành glucôzơ.
B. Nếu không xảy ra quang phân li nước thì APG không được chuyển thành AlPG.
C. Giai đoạn tái sinh chất nhận CO2 cần sự tham gia trực tiếp của NADPH.
D. Trong quang hợp, O2 được tạo ra từ CO2.
Câu 102. Khi nói về tuần hoàn máu ở người bình thường, có bao nhiêu phát biểu sau đây đúng?
I. Huyết áp ở mao mạch lớn hơn huyết áp ở tĩnh mạch.
II. Máu trong tĩnh mạch luôn nghèo ôxi hơn máu trong động mạch.
III. Trong hệ mạch máu, vận tốc máu trong mao mạch là chậm nhất.
IV. Lực co tim, nhịp tim và sự đàn hồi của mạch đều có thể làm thay đổi huyết áp.
A. 1. B. 2. C. 3. D. 4.
Câu 103. Khi nói về cơ chế di truyền ở sinh vật nhân thực, có bao nhiêu phát biểu sau đây đúng?
I. Các gen trong một tế bào luôn có số lần phiên mã bằng nhau.
II. Quá trình phiên mã luôn diễn ra đồng thời với quá trình nhân đôi ADN.
III. Thông tin di truyền trong ADN được truyền từ tế bào này sang tế bào khác nhờ cơ chế nhân đôi ADN.
IV. Quá trình dịch mã có sự tham gia của mARN, tARN và ribôxôm.
A. 4. B. 3. C. 1. D. 2.
Câu 104. Cho cây dị hợp tử về 2 cặp gen (P) tự thụ phấn, thu được F1. Cho biết mỗi gen quy định một tính trạng, các alen trội là trội hoàn toàn và không xảy ra đột biến. Theo lí thuyết, tỉ lệ kiểu hình ở F1 có thể là:
A. 3 : 3 : 1 : 1. B. 1 : 2 : 1. C. 19 : 19 : 1 : 1. D. 1 : 1 : 1 : 1.
Câu 105. Giả sử ở thế hệ xuất phát (P) của một quần thể ngẫu phối có tần số các kiểu gen là: 0,64 AA : 0,32 Aa : 0,04 aa. Biết rằng alen A trội hoàn toàn so với alen a. Theo thuyết tiến hóa hiện đại, phát biểu nào sau đây đúng?
A. Nếu trong quần thể xuất hiện thêm kiểu gen mới thì chắc chắn đây là kết quả tác động của nhân tố đột biến.
B. Nếu thế hệ F1 có tần số các kiểu gen là: 0,81 AA : 0,18 Aa : 0,01 aa thì đã xảy ra chọn lọc chống lại alen trội.
C. Nếu quần thể chỉ chịu tác động của nhân tố di - nhập gen thì tần số các alen của quần thể luôn được duy trì ổn định qua các thế hệ.
D. Nếu quần thể chịu tác động của các yếu tố ngẫu nhiên thì alen a có thể bị loại bỏ hoàn toàn ra khỏi quần thể.
Câu 106. Ổ sinh thái dinh dưỡng của bốn quần thể M, N, P, Q thuộc bốn loài thú sống trong cùng một môi trường và thuộc
cùng một bậc dinh dưỡng được kí hiệu bằng các vòng tròn ở hình bên. Phân tích hình này, có bao nhiêu phát biểu sau đây
đúng?

I. Quần thể M và quần thể Q không cạnh tranh về dinh dưỡng.
II. Sự thay đổi kích thước quần thể M có thể ảnh hưởng đến kích thước quần thể N.
III. Quần thể M và quần thể P có ổ sinh thái dinh dưỡng không trùng nhau.
IV. Quần thể N và quần thể P có ổ sinh thái dinh dưỡng trùng nhau hoàn toàn.
A. 1. B. 3. C. 2. D. 4.
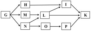
Câu 107. Giả sử lưới thức ăn trong một hệ sinh thái gồm các loài sinh vật G, H, I, K, L, M, N, O, P được mô tả bằng sơ đồ ở hình bên. Cho biết loài G là sinh vật sản xuất và các loài còn lại đều là sinh vật tiêu thụ. Phân tích lưới thức ăn này, có bao nhiêu phát biểu sau đây đúng?

I. Loài H thuộc bậc dinh dưỡng cấp 2.
II. Loài L tham gia vào 4 chuỗi thức ăn khác nhau.
III. Loài I có thể là sinh vật tiêu thụ bậc 3 hoặc bậc 4.
IV. Loài P thuộc nhiều bậc dinh dưỡng khác nhau.
A. 1. B. 2. C. 3. D. 4.
Câu 108. Có bao nhiêu biện pháp sau đây góp phần sử dụng bền vững tài nguyên thiên nhiên?
I. Sử dụng năng lượng gió để sản xuất điện.
II. Sử dụng tiết kiệm nguồn nước sạch.
III. Chống xói mòn và chống ngập mặn cho đất.
IV. Tăng cường khai thác than đá, dầu mỏ phục vụ cho phát triển kinh tế.
A. 1. B. 2. C. 3. D. 4.
Câu 109. Alen A ở vi khuẩn E. coli bị đột biến điểm thành alen a. Theo lí thuyết, có bao nhiêu phát biểu sau đây đúng?
I. Alen a và alen A có số lượng nuclêôtit luôn bằng nhau.
II. Nếu đột biến mất cặp nuclêôtit thì alen a và alen A có chiều dài bằng nhau.
III. Chuỗi pôlipeptit do alen a và chuỗi pôlipeptit do alen A quy định có thể có trình tự axit amin giống nhau.
IV. Nếu đột biến thay thế một cặp nuclêôtit ở vị trí giữa gen thì có thể làm thay đổi toàn bộ các bộ ba từ vị trí xảy ra đột biến cho đến cuối gen.
A. 1. B. 2. C. 3. D. 4.
Câu 110. Một loài thực vật có bộ nhiễm sắc thể 2n. Có bao nhiêu dạng đột biến sau đây làm thay đổi số lượng nhiễm sắc thể trong tế bào của thể đột biến?
I. Đột biến đa bội. II. Đột biến đảo đoạn nhiễm sắc thể.
III. Đột biến lặp đoạn nhiễm sắc thể. IV. Đột biến lệch bội dạng thể một.
A. 3. B. 1. C. 2 .D. 4.

Câu 112. Ở đậu Hà Lan, alen A quy định thân cao trội hoàn toàn so với alen a quy định thân thấp; alen B quy định hoa đỏ trội hoàn toàn so với alen b quy định hoa trắng. Hai cặp gen này phân li độc lập. Biếtrằng không xảy ra đột biến. Theo lí thuyết, có bao nhiêu phát biểu sau đây đúng?
I. Ở loài này có tối đa 4 loại kiểu gen quy định kiểu hình thân cao, hoa đỏ.
II. Cho một cây thân cao, hoa trắng tự thụ phấn, có thể thu được đời con có số cây thân cao, hoa trắng chiếm 75%.
III. Cho một cây thân cao, hoa đỏ tự thụ phấn, nếu thu được đời con có 4 loại kiểu hình thì số cây thân cao, hoa trắng ở đời con chiếm 18,75%.
IV. Cho một cây thân cao, hoa đỏ giao phấn với cây có kiểu gen đồng hợp tử lặn, có thể thu được đời con có 2 loại kiểu hình.
A. 1. B. 4. C . 2. D. 3.
Câu 113. Khi nói về đột biến điểm ở sinh vật nhân thực, có bao nhiêu phát biểu sau đây đúng?
I. Gen đột biến luôn được truyền lại cho tế bào con qua phân bào.
II. Đột biến thay thế cặp nuclêôtit có thể làm cho một gen không được biểu hiện.
III. Đột biến gen chỉ xảy ra ở các gen cấu trúc mà không xảy ra ở các gen điều hòa.
IV. Đột biến thay thế cặp A-T bằng cặp G-X không thể biến đổi bộ ba mã hóa axit amin thành bộ ba kết thúc.
A. 1. B. 3. C. 2. D. 4.
Câu 114. Một loài thực vật, alen A quy định hoa đỏ trội hoàn toàn so với alen a quy định hoa trắng.
Phép lai P: AA × aa, thu được các hợp tử F1. Sử dụng cônsixin tác động lên các hợp tử F1, sau đó cho phát triển thành các cây F1. Cho các cây F1 tứ bội tự thụ phấn, thu được F2. Cho tất cả các cây F2 giao phấn ngẫu nhiên, thu được F3. Biết rằng cây tứ bội giảm phân chỉ sinh ra giao tử lưỡng bội có khả năng thụ tinh. Theo lí thuyết, tỉ lệ kiểu hình ở F3 là
A. 31 cây hoa đỏ : 5 cây hoa trắng. B. 77 cây hoa đỏ : 4 cây hoa trắng.
C. 45 cây hoa đỏ : 4 cây hoa trắng. D. 55 cây hoa đỏ : 9 cây hoa trắng.

Câu 116. Một loài thực vật, chiều cao cây do 2 cặp gen A, a và B, b cùng quy định; màu hoa do cặp gen D, d quy định. Cho cây P tự thụ phấn, thu được F1 có kiểu hình phân li theo tỉ lệ: 6 cây thân cao, hoa vàng : 6 cây thân thấp, hoa vàng : 3 cây thân cao, hoa trắng : 1 cây thân thấp, hoa trắng. Biết rằng không xảy ra đột biến và không có hoán vị gen. Theo lí thuyết, có bao nhiêu phát biểu sau đây đúng?
I. Cây P dị hợp tử về 3 cặp gen đang xét.
II. F1 có 2 loại kiểu gen quy định kiểu hình thân cao, hoa vàng.
III. Lấy ngẫu nhiên một cây thân thấp, hoa vàng ở F1, xác suất lấy được cây thuần chủng là 1/3.
IV. Lấy ngẫu nhiên một cây thân cao, hoa vàng ở F1, xác suất lấy được cây dị hợp tử về 3 cặp gen là 2/3.
A. 1. B. 2. C. 4. D. 3.
Câu 117. Ở ruồi giấm, alen A quy định thân xám trội hoàn toàn so với alen a quy định thân đen; alen B quy định cánh dài trội hoàn toàn so với alen b quy định cánh cụt; hai cặp gen này cùng nằm trên một cặp nhiễm sắc thể thường. Alen D quy điṇ h mắt đỏ trội hoàn toàn so với alen d quy điṇ h mắt trắng; gen này nằm ở vùng không tương đồng trên nhiễm sắc thể giới tính X. Cho ruồi đực và ruồi cái (P) đều có thân xám, cánh dài, mắt đỏ giao phối với nhau, thu được F1 có 5% ruồi đực thân đen, cánh cụt, mắt trắng. Biết rằng không xảy ra đột biến. Theo lí thuyết, có bao nhiêu phát biểu sau đây đúng?
I. F1 có 35% ruồi cái thân xám, cánh dài, mắt đỏ.
II. F1 có 10% ruồi cái thân đen, cánh cụt, mắt đỏ.
III. F1 có 46,25% ruồi thân xám, cánh dài, mắt đỏ.
IV. F1 có 1,25% ruồi thân xám, cánh cụt, mắt đỏ.
A. 1. B. 2. C. 3. D. 4.
Câu 118. Cho cây (P) tự thụ phấn, thu được F1 gồm 51% cây thân cao, hoa đỏ; 24% cây thân cao, hoa trắng; 24% cây thân thấp, hoa đỏ; 1% cây thân thấp, hoa trắng. Cho biết mỗi gen quy định một tính trạng, không xảy ra đột biến nhưng xảy ra hoán vị gen trong quá trình phát sinh giao tử đực và giao tử cái với tần số bằng nhau. Theo lí thuyết, có bao nhiêu phát biểu sau đây đúng?
I. F1 có 1% số cây thân cao, hoa đỏ thuần chủng.
II. F1 có 5 loại kiểu gen quy định kiểu hình thân cao, hoa đỏ.
III. Trong tổng số cây thân cao, hoa đỏ ở F1, có 2/3 số cây dị hợp tử về 2 cặp gen.
IV. Lấy ngẫu nhiên 1 cây thân thấp, hoa đỏ ở F1, xác suất lấy được cây thuần chủng là 2/3.
A. 1. B. 2. C. 3. D. 4.
Câu 119. Một quần thể thực vật, alen A quy định hoa đỏ trội hoàn toàn so với alen a quy định hoa trắng. Thế hệ xuất phát (P) của quần thể này có thành phần kiểu gen là: 0,5 AA : 0,4 Aa : 0,1 aa. Theo lí thuyết, có bao nhiêu phát biểu sau đây đúng?
I. Nếu quần thể này giao phấn ngẫu nhiên thì thành phần kiểu gen ở F1 là: 0,36 AA : 0,48 Aa : 0,16 aa.
II. Nếu cho tất cả các cây hoa đỏ ở P giao phấn ngẫu nhiên thì thu được F1 có 91% số cây hoa đỏ.
III. Nếu cho tất cả các cây hoa đỏ ở P tự thụ phấn thì thu được F1 có 1/9 số cây hoa trắng.
IV. Nếu quần thể này tự thụ phấn thì thành phần kiểu gen ở F1 là: 0,6 AA : 0,2 Aa : 0,2 aa.
A. 1. B. 3. C. 2. D. 4.
Câu 120. Phả hê ̣ở hình bên mô tả sự di truyền của bêṇ h M vàbêṇ h N ở người, mỗi bêṇ h đều do 1 trong 2 alen của môṭ gen quy điṇ h. Cả hai gen này đều nằm ở vùng không tương đồng trên nhiêm̃ sắc thể giới tính X. Biết rằng không xảy ra đôṭ biến và không có hoán vi ̣gen. Theo lí thuyết, có bao nhiêu phát biểu sau đây đúng?

I. Người số 1 dị hơp̣ tử về cả hai căp̣ gen.
II. Xác suất sinh con thứ hai bi ̣bêṇ h của căp̣ 9 - 10 là 1/2.
III. Xác điṇh đươc̣ tối đa kiểu gen của 9 người trong phả hệ.
IV. Xác suất sinh con thứ hai là con trai bi ̣bêṇ h của căp̣ 7 - 8 là 1/4.
A. 2. B. 1. C. 3. D. 4.