Đề thi Olympic môn Toán lớp 7 - Phòng GD Đức Thọ tỉnh Hà Tĩnh
PHÒNG GIÁO DỤC VÀ ĐÀO TẠO
|
ĐỀ THI OLYMPIC TOÁN LỚP 7
|
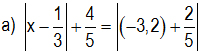
Câu 1:
a. Thực hiện phép tính: 
b. Chứng minh rằng, với mọi số nguyên dương n thì 3n+2 - 2n+2 + 3n - 2n chia hết cho 10
Câu 2:
Tìm x, biết

b) (x - 7)x+1 - (x - 7)x+1 = 0
Câu 3:
a. Số A được chia thành 3 số tỉ lệ theo
. Biết rằng tổng các bình phương của ba số đó bằng 24309. Tìm số A
b. Cho x, y, z là các số hữu tỉ khác 0, sao cho
.
Tính giá trị bằng số của biểu thức: 
Câu 4:
Cho tam giác ABC (AB < AC), M là trung điểm của BC. Trên tia đối của tia MA lấy điểm E sao cho ME = MA. Chứng minh rằng
a. AC = EB và AC // BE.
b. Gọi I là một điểm trên AC, K là một điểm trên EB sao cho AI = EK. Chứng minh ba điểm I, M, K thẳng hàng.
c. Từ M kẻ tia Mx sao cho MA là tia phân giác cua góc BMx. Gọi D là giao điểm Mx với AC. Chứng minh rằng MB > MD
Câu 5:
Cho tam giác ABC có góc B = 60o, C = 45o. Trong ABC, vẽ tia Bx sao cho góc CBx = 15o. Đường vuông góc với AB tại A cắt Bx ở I. Tính góc ICB