Giao diện mới của VnDoc Pro: Dễ sử dụng hơn - chỉ tập trung vào lớp bạn quan tâm. Vui lòng chọn lớp mà bạn quan tâm: Lưu và trải nghiệm
Đóng
Điểm danh hàng ngày
  • Hôm nay +3
  • Ngày 2 +3
  • Ngày 3 +3
  • Ngày 4 +3
  • Ngày 5 +3
  • Ngày 6 +3
  • Ngày 7 +5
Bạn đã điểm danh Hôm nay và nhận 3 điểm!
Nhắn tin Zalo VNDOC để nhận tư vấn mua gói Thành viên hoặc tải tài liệu Hotline hỗ trợ: 0936 120 169

Đề thi Olympic toán tuổi thơ năm 2013 cấp THCS thành phố Bà Rịa - Đề thi cá nhân

Loại File: Word
Phân loại: Tài liệu Tính phí

CUỘC THI OLYMPIC TOÁN TUỔI THƠ NĂM HỌC 2012 -2013
CẤP THCS THÀNH PHỐ BÀ RỊA

ĐỀ THI CÁ NHÂN
Thời gian làm bài: 30 phút


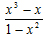
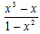
Câu 1:

Kết quả của phép nhân là:

Câu 2:

Giá trị nhỏ nhất của biểu thức là:

Câu 3:

Cho x - y = 4; x.y = 3. Giá trị của biểu thức (x + y)2 là:

Câu 4:

Giá trị của biểu thức x2 - y2 - 2y - 1 tại x = 93, y = 6 là:

Câu 5:

Rút gọn phân thức

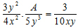
Câu 6:

Biết rằng . Tính A:

Câu 7:

Cho hình thang cân ABCD (AB // CD) có AB = 13cm, CD = 25cm, góc D = 450. Như vậy diện tích hình thang ABCD bằng:

Câu 8:

Cho hình thang ABCD. Phân giác của góc A và góc D cắt nhau tại I, phân giác của góc B và góc C cắt nhau tại K. Ta có góc AID = góc BCK và bằng:

Câu 9:

Nếu x2 + x(6 - 2x) = (x - 1)(2 - x) - 2 thì x bằng:

Câu 10:

Phép chia (x2 - 5x + 6) : (x - 2) có kết quả là:

Câu 11:

Số dư của phép chia đa thức (x3 - 4x2 + 3x + 2) : (x - 2) là:

Câu 12:

AC, BD là hai đường kính của đường tròn tâm O thì tứ giác ABCD là hình gì?

Câu 13:

Nếu a, b, c là độ dài 3 cạnh của một tam giác ABC mà a2 + b2 + c2 = ab + bc + ca thì tam giác ABC là:

Câu 14:

Biểu thức (3x - 1)3 bằng:

Câu 15:

Kết quả phân tích đa thức x2 - 7x + 12 thành nhân tử là:

Câu 16: (Học sinh trình bày bài giải)

Cho hình thang ABCD (AB//CD). Biết góc ADB = 450, góc BCD = 600, góc CBD = 900. Tính góc BAD?

Chọn file muốn tải về:
Đóng Chỉ thành viên VnDoc PRO/PROPLUS tải được nội dung này!
Đóng
79.000 / tháng
Đặc quyền các gói Thành viên
PRO
Phổ biến nhất
PRO+
Tải tài liệu Cao cấp 1 Lớp
30 lượt tải tài liệu
Xem nội dung bài viết
Trải nghiệm Không quảng cáo
Làm bài trắc nghiệm không giới hạn
Mua cả năm Tiết kiệm tới 48%
33
Xác thực tài khoản!

Theo Nghị định 147/2024/ND-CP, bạn cần xác thực tài khoản trước khi sử dụng tính năng này. Chúng tôi sẽ gửi mã xác thực qua SMS hoặc Zalo tới số điện thoại mà bạn nhập dưới đây:

Số điện thoại chưa đúng định dạng!
Số điện thoại này đã được xác thực!
Bạn có thể dùng Sđt này đăng nhập tại đây!
Lỗi gửi SMS, liên hệ Admin
Sắp xếp theo
🖼️

Thư viện Học liệu

Xem thêm
🖼️

Gợi ý cho bạn

Xem thêm