Đề thi thử đại học lần 1 môn Toán năm 2015 trường THPT Hàn Thuyên, Bắc Ninh
VnDoc.com xin giới thiệu tới các bạn "Đề thi thử đại học lần 1 môn Toán năm 2015 trường THPT Hàn Thuyên, Bắc Ninh". Tài liệu này bao gồm đề thi và đáp án kèm theo, giúp các bạn tự luyện tập và kiểm tra lại một cách dễ dàng. Mời các bạn cùng tham khảo.
ĐỀ THI THỬ ĐẠI HỌC MÔN TOÁN LẦN 1 NĂM 2015
|
SỞ GD & ĐT BẮC NINH
|
ĐỀ THI THỬ THPT QUỐC GIA LẦN 1 NĂM HỌC 2014 - 2015 MÔN TOÁN Thời gian làm bài: 180 phút (không kể thời gian phát đề) |
Câu 1 (2,0 điểm).
Cho hàm số y = x3 - 3mx2 + 4m2 - 2 (1), với m là tham số thực.
a) Khảo sát sự biến thiên và vẽ đồ thị (C) của hàm số (1) với m = 1.
a) Tìm m để đồ thị hàm số (1) có hai điểm cực trị A và B sao cho điểm I (0;1) là trung điểm của đoạn AB.

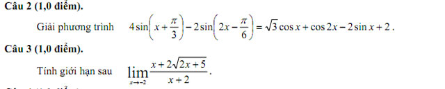
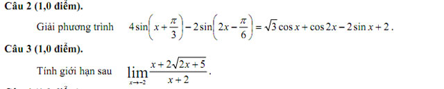
Câu 4 (1,0 điểm).
Một hộp đựng 5 viên bi màu đỏ và 6 viên bi màu xanh. Lấy ngẫu nhiên từ hộp 4 viên bi. Tính xác suất để trong 4 viên bi được lấy ra đó có đủ cả hai màu và số viên bi màu đỏ lớn hơn số viên bi màu xanh.
Câu 5 (1,0 điểm).
Trong mặt phẳng tọa độ Oxy, cho đường tròn (C): (x - 1)2 + (y - 2)2 = 9. Tìm tọa độ các đỉnh của tam giác đều ABC nội tiếp trong đường tròn (C) biết đường thẳng BC có phương trình là 2x - 5 = 0.

-----------HẾT---------
Thí sinh không được sử dụng tài liệu. Cán bộ coi thi không giải thích gì thêm.
Họ và tên thí sinh:……………….....................................................; Số báo danh:……..…………….......