Đề thi thử Đại học lần 1 trường THPT chuyên Hùng Vương tỉnh Gia Lai năm 2014
Đề thi thử đại học khối A môn Toán
|
TRƯỜNG THPT CHUYÊN HÙNG VƯƠNG NĂM HỌC: 2013 - 2014 |
ĐỀ THI THỬ ĐẠI HỌC (LẦN 1) |
I. PHẦN CHUNG CHO TẤT CẢ THÍ SINH (7,0 điểm)
Câu 1 ( 2,0 điểm). Cho hàm số
có đồ thị (C).
a) Khảo sát sự biến thiên và vẽ đồ thị của hàm số (C)
b) Tìm trên (C) những điểm M sao cho tiếp tuyến tại M của (C) cắt hai tiệm cận của (C) tại A, B sao cho AB ngắn nhất.
Câu 2 (1,0 điểm). Giải phương trình:
![]()
Câu 3 (1,0 điểm). Giải bất phương trình:
![]()
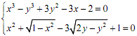
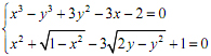
Câu 4 (1,0 điểm). Giải hệ phương trình:

Câu 5 (1,0 điểm).
Cho hình chóp S.ABC, có đáy ABC là tam giác vuông tại A, AB = a, góc ACB = 30o. Gọi I là trung điểm BC, hình chiếu vuông góc của điểm S lên mặt đáy (ABC) là điểm H thỏa mãn: IA = 2IH. Góc giữa SC và mặt đáy (ABC) bằng 60o. Tính thể tích khối chóp S.ABC và tính khoảng cách từ trung điểm K của SB tới mặt phẳng (SAH) theo a?
Câu 6 (1,0 điểm).
Cho ba số thực a, b, c thỏa mãn
và 2a + 3b + 4c ≤ 7. Tìm giá trị nhỏ nhất của biểu thức:
![]()
II. PHẦN RIÊNG (3,0 điểm): Thí sinh chỉ được làm một trong hai phần (phần A hoặc phần B)
A. Theo chương trình chuẩn
Câu 7.a (1,0 điểm). Trong mặt phẳng với hệ tọa độ Oxy cho tam giác ABC có trực tâm H(1; 1), điểm M( 1; 2)là trung điểm AC và phương trình cạnh BC là: 2x - y + 1 = 0. Xác định tọa độ các đỉnh A, B, C của tam giác ABC?
Câu 8.a (1,0 điểm). Cắt hình nón (N) đỉnh S cho trước bởi mặt phẳng qua trục của nó, ta được một tam giác vuông cân có cạnh huyền bằng a√2. Tính diện tích xung quanh của hình nón (N). Tính thể tích khối cầu nội tiếp hình nón (N)
Câu 9.a (1,0 điểm). Cho hai đường thẳng d1 và d2 cắt nhau tại điểm O. Trên d1 lấy 6 điểm phân biệt khác điểm O. Trên d2 lấy n điểm phân biệt khác điểm O. Tìm n để số tam giác tạo thành từ n + 7 điểm trên (kể cả điểm O) là 336
B. Theo chương trình nâng cao
Câu 7.b (1,0 điểm). Trong mặt phẳng tọa độ Oxy cho đường thẳng (d): x + y – 2 = 0 cắt đường tròn (C) có phương trình: x2 + y2 - 4x - 4y + 4 = 0 tại hai điểm A và B. Tìm điểm C trên đường tròn (C) sao cho diện tích tam giác ABC lớn nhất?
Câu 8.b (1,0 điểm). Cho hình trụ (T) có bán kính đáy bằng a. Một mặt phẳng (α) song song và cách trục OO' của hình trụ bằng a/2 cắt hình trụ (T) theo thiết diện là hình vuông. Tính diện tích xung quanh của hình trụ (T) và tính thể tích khối cầu ngoại tiếp hình trụ (T)
Câu 9.b (1,0 điểm). Một hộp đựng 4 viên bi xanh, 5 viên bi đỏ, 3 viên bi vàng. Chọn ngẫu nhiên 3 viên bi. Tính xác suất để 3 viên bi được chọn, trong đó có đúng một viên bi xanh?