Đề thi thử Đại học môn Toán Lần 1 năm 2015 trường THPT Đào Duy Từ tỉnh Thanh Hóa
Đề thi thử Đại học môn Toán có đáp án lần 1 năm 2015 trường THPT Đào Duy Từ tỉnh Thanh Hóa là một trong những đề thi thử đại học môn toán có chất lượng và là tài liệu luyện thi đại học môn toán hay các bạn nên tham khảo.
Đề thi thử Đại học môn Toán
|
SỞ GD-ĐT THANH HÓA
|
KSCL TỔNG HỢP CÁC MÔN TUYỂN SINH ĐH-CĐ |
Câu 1 (2,0 điểm) Cho hàm số y= -x3 + (m +3)x2 - (m2+2m)x - 2 (1), với m là tham số thực
a, Khảo sát sự biến thiên và vẽ đồ thị của hàm số (1) khi m = 0
b, Tìm m để hàm số (1) có hai điểm cực trị x 1 và x2 sao cho x1x2 - 6(x1+x2) + 4 = 0
Câu 2 (1,0 điểm) Giải phương trình: sin3x -sinx + sin2x = 0
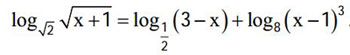
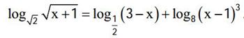
Câu 3 (1,0 điểm) Giải phương trình:

Câu 4 (1,0 điểm)
a, Trong một hộp đựng 8 viên bi đỏ và 6 viên bi xanh. Lấy ngẫu nhiên 4 viên bi từ hộp trên. Tìm xác suất để 4 viên bi được lấy ra có cả bi xanh và bi đỏ.
b, Tìm hệ số của x 5 trong khai triển thành đa thức của biểu thức x(1-2x) 5 + x2(1+3x)10
Câu 5 (2,0 điểm) Cho hình chóp S.ABCD có đáy ABCD là hình vuông cạnh a, SD = (a √17)/2, hình chiếu vuông góc H của S trên mặt phẳng (ABCD) là trung điểm của đoạn AB. Gọi K là trung điểm của đoạn AD.
a, Tính thể tích khối chóp S.ABCD theo a.
b, Tính khoảng cách giữa 2 đường thẳng SD và HK theo a.
Câu 6 (1,0 điểm) Trong mặt phẳng với hệ tọa độ Oxy, cho hình chữ nhật ABCD có D( 4; 5). Điểm M là trung điểm của đoạn AD, đường thẳng CM có phương trình x- 8y +10 =0. Điểm B nằm trên đường thẳng 2x+y+1=0. Tìm tọa độ các đỉnh A, B và C, biết rằng điểm C có tung độ y < 2.