Đề thi thử Đại học môn Toán lần 1 năm 2015 trường THPT Yên Phong 2, Bắc Ninh
Đề thi thử đại học môn Toán lần 1 năm 2015 trường THPT Yên Phong 2, Bắc Ninh mà VnDoc gửi tới các bạn hy vọng sẽ là một trong những tài liệu luyện thi đại học môn Toán hay, giúp các bạn tự kiểm tra trình độ bản thân, hệ thống kiến thức chuẩn bị tốt nhất cho kì thi Quốc gia sắp tới.
Đề thi thử Toán Quốc gia
| SỞ GD-ĐT BẮC NINH TRƯỜNG THPT YÊN PHONG 2 NĂM HỌC 2014-2015 |
ĐỀ THI THỬ THPT QUỐC GIA LẦN 1 Môn Toán Thời gian làm bài 180 phút, không kể thời gian giao đề |
Câu 1: (3 điểm) Cho hàm số y = x3- 3x2 + 2 (*)
1. Khảo sát sự biến thiên và vẽ đồ thị (C) của hàm số (*)
2. Viết phương trình tiếp tuyến của (C) biêt tiếp tuyến song song với đường thẳng d có phương trình y = 2014 - 3x
Câu 2: (3 điểm)
1, Giải phương trình: sinx -√3.cosx =2
2. Từ các chữ số 0, 1, 2, 3, 4 lập được bao nhiêu số tự nhiên có 2 chữ số phân biệt?
3. Tìm giá trị nhỏ nhất và lớn nhât của hàm số y=ex(x2 - x- 5) trên đoạn [1;3]
Câu 3: (2 điểm): Cho hình chóp tứ giác đều S.ABCD có cạnh đáy a. Cạnh bên tạo với mặt đáy (ABCD) một góc 60o.
1. Tính khoảng cách giữa hai đường thẳng chéo nhau SA.CD
2. Tính thể tích khối chóp S.ABCD
Câu 4 (1 điểm): Trong mặt phẳng với hệ tọa độ Oxy, cho tam giác ABC có A(3;1), đường thẳng BC có phương trình y=0, đường phân giác trong góc BAC có phương trình y = x-2; điểm M(-6;-2) thuộc đường thẳng AB. Tính diện tích tam giác ABC.
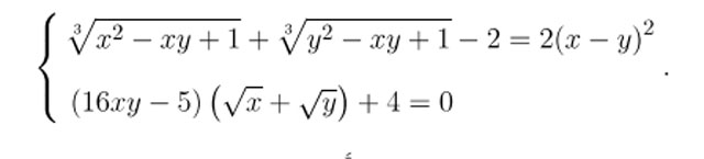
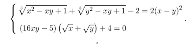
Câu 5 ( 1 điểm) Giải hệ phương trình:
Hết
Thí sinh không được sử dụng tài liệu. Cán bộ coi thi không giải thích gì thêm