Đề thi thử đại học môn Toán năm 2014 tỉnh Hà Tĩnh
VnDoc.com xin giới thiệu đến các bạn đề thi thử môn toán các khối A, B, D năm 2014 của một số trường THPT tỉnh Hà Tĩnh. Các bạn có thể download một cách miễn phí để tham khảo thêm nhằm chuẩn bị tốt cho kì thi đại học sắp tới.
Đề thi thử đại học môn Toán khối D, A, B
SỞ GIÁO DỤC VÀ ĐÀO TẠO
|
ĐỀ THI THỬ ĐẠI HỌC LẦN I NĂM 2014
|
I. PHẦN CHUNG CHO TẤT CẢ THÍ SINH (7,0 điểm)
Câu 1. (2,0 điểm) Cho hàm số ![]()
a) Khảo sát sự biến thiên và vẽ đồ thị (C) của hàm số đã cho.
b) Tìm điểm M thuộc đồ thị (C) sao cho tổng khoảng cách từ M đến hai đường tiệm cận của đồ thị (C) bằng 4.
Câu 2. (1,0 điểm). Giải phương trình:
![]()
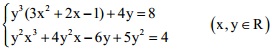
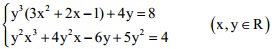
Câu 3. (1,0 điểm). Giải hệ phương trình:
![]()
Câu 4. (1,0 điểm) Tính tích phân:

Câu 5. (1,0 điểm) Cho hình chóp S.ABCD có đáy ABCD là hình vuông cạnh 2a, mặt phẳng (SAB) vuông góc với đáy, tam giác SAB cân tại S và SC tạo với đáy một góc 600. Tính thể tích khối chóp S.ABCD và khoảng cách giữa hai đường thẳng BD và SA theo a.
Câu 6. (1,0 điểm). Cho các số thực dương a, b, c. Tìm giá trị nhỏ nhất của biểu thức:
![]()
II. PHẦN RIÊNG (3,0 điểm): Thí sinh chỉ được chọn một trong hai phần (phần A hoặc phẩn B)
A. Theo chương trình chuẩn
Câu 7.a (1,0 điểm). Trong mặt phẳng với hệ tọa độ Oxy, cho hai đường thẳng d: x - 3y - 1 = 0, d': 3x - y + 5 = 0. Gọi I là giao điểm của d và d'. Viết phương trình đường tròn tâm I sao cho đường tròn đó cắt d tại A, B và cắt d' tại A', B' thoả mãn diện tích tứ giác AA'BB' bằng 40.
Câu 8.a (1,0 điểm). Giải phương trình:
![]()
Câu 9.a (1,0 điểm). Tính tổng:
![]()
B. Theo chương trình Nâng cao
Câu 7.b (1,0 điểm). Trong mặt phẳng với hệ tọa độ Oxy, cho tam giác ABC vuông tại A, biết B(1; 4), trọng tâm G(5;4) và AC = 2AB. Tìm tọa độ điểm A, C.
Câu 8.b (1,0 điểm) Giải bất phương trình:
![]()
Câu 9.b (1,0 điểm) Một ngân hàng đề thi gồm 20 câu hỏi. Mỗi đề thi gồm 4 câu được lấy ngẫu nhiên từ ngân hàng đề thi. Thí sinh A đã học thuộc 10 câu trong ngân hàng đề thi. Tìm xác suất để thí sinh A rút ngẫu nhiên được 1 đề thi có ít nhất 2 câu đã thuộc.