Đề thi thử đại học môn Toán năm 2014 tỉnh Hải Dương
Đề thi thử đại học khối A, B
SỞ GIÁO DỤC VÀ ĐÀO TẠO
|
ĐỀ THI THỬ ĐẠI HỌC LẦN THỨ NHẤT
|
Câu I (2,0 điểm) Cho hàm số ![]()
1. Khảo sát sự biến thiên và vẽ đồ thị của hàm số (1).
2. Tìm hai điểm A, B thuộc đồ thị (C) sao cho tiếp tuyến của đồ thị (C) tại các điểm đó song song với nhau, đồng thời ba điểm O, A, B tạo thành tam giác vuông tại O.
Câu II (2,0 điểm)
1) Tìm nghiệm x thuộc (0; π) của phương trình:
![]()
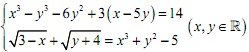
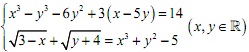
2) Giải hệ phương trình.

Câu III (1,0 điểm) Tính tích phân
![]()
Câu IV (1,0 điểm)
Cho hình chóp S.ABCD có đáy là hình chữ nhật với AB = a, BC = a√3. Hai mặt phẳng (SAC) và (SBD) cùng vuông góc với đáy. Điểm I thuộc đoạn SC sao cho SC = 3IC. Tính thể tích khối chóp S.ABCD và khoảng cách giữa hai đường thẳng AI và SB biết AI vuông góc với SC.
Câu V (1,0 điểm)
Cho 2 số thực a, b thuộc đoạn (0; 1) thỏa mãn (a3 + b3)(a + b) - ab(a - 1)(b - 1) = 0. Tìm giá trị lớn nhất của biểu thức sau:
![]()
Câu VI (1,0 điểm)
Trong mặt phẳng với hệ toạ độ Oxy cho tam giác ABC có đỉnh A(-3; 4), đường phân giác trong của góc A có phương trình x + y - 1 = 0 và tâm đường tròn ngoại tiếp ΔABC là I (1; 7). Viết phương trình cạnh BC, biết diện tích ΔABC gấp 4 lần diện tích ΔIBC.
Câu VII (1,0 điểm) Cho khai triển ![]()
Tính tổng: ![]()
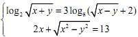
Câu VIII (1,0 điểm) Giải hệ phương trình
