Đề thi thử Đại học môn Vật lý năm 2013 - Đại học Khoa học tự nhiên Hà Nội
| TRƯỜNG ĐẠI HỌC KHOA HỌC TỰ NHIÊN TRƯỜNG THPT CHUYÊN KHTN |
ĐỀ THI THỬ ĐẠI HỌC ĐỢT 1 NĂM HỌC 2012 – 2013 Môn: Vật Lý |
Mã đề thi: 559
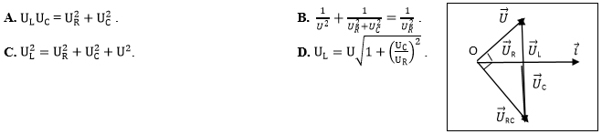
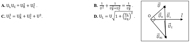
Câu 1: Đặt điện áp u = U0cosωt (V) vào hai đầu đoạn mạch gồm điện trở thuần R, cuộn thuần cảm có độ tự cảm L thay đổi được và tụ điện C mắc nối tiếp. Điều chỉnh độ tự cảm L của cuộn dây để điện áp hiệu dụng trên cuộn dây đạt cực đại. Chỉ ra biểu thức sai:

Câu 2: Một con lắc đơn gồm dây treo có chiều dài L và vật nhỏ có khối lượng 100 gam mang điện tích q > 0. Treo con lắc đơn này trong điện trường đều với véc cường độ điện trường hướng thẳng đứng xuống dưới. Chu kỳ dao động mới của con lắc chỉ bằng một nửa dao động tự do của nó: T=T0/2 . Lấy g = 10 m/s2. Xác định độ lớn lực điện tác dụng vào quả nặng:
A. 4 N. B. 1 N. C. 2 N. D. 3 N.
Câu 3: Đặt một điện áp xoay chiều có giá trị hiệu dụng và tần số không đổi lần lượt vào hai đầu điện trở thuần R, cuộn thuần cảm có độ tự cảm L, tụ điện có điện dung C thì cường độ dòng điện hiệu dụng qua mạch tương ứng là 0,25 A; 0,5 A; 0,2 A. Nếu đặt điện áp xoay chiều này vào hai đầu đoạn mạch gồm ba phần tử trên mắc nối tiếp thì cường độ dòng điện hiệu dụng qua mạch là
A. 0,3 A B. 0,05A C. 0,2 A D. 0,15 A
Câu 4: Con lắc đơn dao động trong không khí chịu lực cản của không khí nên dao động tắt dần chậm theo thời gian. Sau 10 chu kỳ dao động, biên độ dao động giảm còn 0,9 giá trị ban đầu. Sau khoảng bao nhiêu chu kỳ thì biên độ dao động của con lắc giảm còn một nửa giá trị lúc ban đầu dao động:
A. 60. B. 55. C. 65. D. 50.
Câu 5: Trong thí nghiệm giao thoa sóng trên mặt nước, hai nguồn sóng kết hợp đồng pha cách nhau một đoạn S1S2 = 25 cm, tạo ra sóng lan truyền trên mặt nước với bước sóng 0,8 cm. Xét hai điểm M, N nằm trên mặt nước và S1M = S1N = 15 cm; S2M = S2N = 20 cm. Trên đoạn MN có bao nhiêu điểm dao động với biên độ cực đại?
A. 3. B. 2. C. 4. D. 5.
Câu 6: Nếu ta tăng khối lượng của vật nặng lên 2 lần và giảm hệ số đàn hồi của lò xo xuống 2 lần thì tần số dao động của con lắc lò xo sẽ: A. giảm đi 4 lần. B. không đổi. C. giảm đi 2 lần. D. tăng lên 2 lần.
Câu 7: Một chất điểm dao động điều hoà trên trục Ox. Véc tơ gia tốc của chất điểm có
A. độ lớn không đổi, chiều luôn hướng về vị trí cân bằng.
B. độ lớn cực đại ở vị trí biên, chiều luôn hướng ra biên.
C. độ lớn tỉ lệ với độ lớn của biên độ, chiều luôn hướng về vị trí cân bằng.
D. độ lớn cực tiểu khi qua vị trí cân bằng, luôn cùng chiều với véc tơ vận tốc.
Câu 8: Một mạch dao động LC gồm cuộn dây thuần cảm có độ tự cảm L mắc với tụ điện có điện dung C. Nếu ta tăng khoảng cách giữa hai bản tụ lên 2 lần và giữ nguyên các thông số khác của mạch thì tần số dao động riêng của mạch:
A. giảm 2 lần. B. tăng 2 lần. C. tăng 2 lần. D. giảm 2 lần.
Câu 9: Độ lệch pha giữa điện áp của hai đầu cuộn dây và điện áp của hai đầu tụ điện không thể nhận giá trị nào sau đây:
A. π/2 . B. 3π/4 . C. π . D. 5π/6 .
Câu 10: Trong thí nghiệm Y–âng về giao thoa ánh sáng, nguồn sáng phát ra ánh sáng đơn sắc có bước sóng λ. tại hai điểm M, N trên màn quan sát, ta thu được hai vân tối và giữa chúng có 5 vân sáng. Dịch màn quan sát ra xa 60 cm, thì tại M và N, ta thu được hai vân sáng và giữa chúng còn có 3 vân sáng nữa. Khoảng cách từ màn đến hai khe lúc đầu là:
A. 1,8 m. B. 1,2 m. C. 3,0 m. D. 2,4 m.
Câu 11: Một vật dao động tắt dần có các đại lượng nào sau đây giảm liên tục theo thời gian?
A. Biên độ và tốc độ.
B. Li độ và tốc độ.
C. Biên độ và cơ năng.
D. Biên độ và gia tốc.
Câu 12: Một con lắc lò xo gồm một lò xo nhẹ có độ cứng 100N/m và vật nhỏ có khối lượng m dao động điều hoà theo phương ngang. Khoảng thời gian ngắn nhất giữa hai thời điểm vật có thế năng gấp 3 lần động năng là π/30 s. Giá trị của m là:
A. 0,5 kg. B. 1,0 kg. C. 2,0 kg. D. 0,25 kg.
Câu 14: Cho đoạn mạch xoay chiều chỉ có một phần tử. Tại thời điểm t1, thì giá trị cường độ dòng điện tức thời và điện áp tức thời giữa hai đầu đoạn mạch là i1 = 3A và u1 = 40 V; tại thời điểm t2, các giá trị này lần lượt là i2 = 4A và u2 = – 30 V và cường độ dòng điện đang giảm. Phần tử trong mạch này là
A. Cuộn dây không thuần cảm (L,r).
B. Điện trở thuần R.
C. Tụ điện.
D. Cuộn thuần cảm.
Câu 15: Một bóng đèn tuýp được mắc vào nguồn điện xoay chiều có điện áp cực đại không đổi bằng 200V. Đén sáng lên nếu điện áp giữa hai đầu đèn tăng quá 100 2 V và tắt nếu điện áp giữa hai đầu đèn giảm xuống dưới 100 V. Trong thời gian 1 phút, thời gian đèn sáng là:
A. 35 s. B. 30s. C. 40s. D. 25s.
Câu 16: Một máy biến thế có số vòng của cuộn sơ cấp và thứ cấp lần lượt là 200 vòng và 500 vòng. Bỏ qua mọi hao phí của máy biến thế. Điện áp hiệu dụng giữa hai đầu cuộn thứ cấp khi để hở có giá trị là 80 V. Điện áp hiệu dụng đặt vào hai đầu cuộn sơ cấp là:
A. 40 V. B. 32 V. C. 400 V. D. 160 V.
Câu 17: Hai chất điểm dao động theo cùng phương, cùng tần số với phương trình dao động lần lượt là x1 = 3cos(πt) (cm) và x2 = 4sin (πt) (cm). Lúc hai vật ở xa nhau nhất, li độ của vật 1 là:
A. ± 1,8 cm B. 0 cm. C. ± 2,12 cm. D. ± 3 cm.
Câu 18: Trong thí nghiệm Y–âng về giao thoa ánh sáng, nguồn sáng phát đồng thời ba ánh sáng đơn sắc có bước sóng lần lượt là λ1 = 0,4 μm; λ2 = 0,5 μm; λ3 = 0,6 μm. Trên màn qua sát, tại vị trí vân sáng cùng màu với vân sáng trung tâm và gần vân sáng trung tâm nhất, ta thu được vân sáng bậc mấy của ánh sáng đơn sắc có bước sóng λ1?
A. 15. B. 12. C. 10. D. 20.
Câu 19: Một con lắc lò xo treo thẳng đứng dao động điều hoà dọc theo quỹ đạo dài 12 cm. Lúc vật ở vị trí cao nhất của quỹ đạo, lò xo bị nén 2 cm. Chu kỳ dao động của con lắc xấp xỉ bằng:
A. 0,3 s. B. 0,4 s. C. 0,6 s. D. 0,5 s.
Câu 20: Hai điểm nằm trên cùng một phương truyền sóng luôn dao động vuông pha với nhau khi khoảng cách của chúng bằng:
A. d = (2k + 1).λ/4. B. d = (2k + 1).λ/2. C. d = k.λ. D. d = (4k + 1).λ/4.
Câu 21: Đặt điện áp u = U0cos100t vào hai đầu đoạn mạch gồm điện trở thuần R = 50Ω, cuộn cảm có độ tự cảm L = 0,8 H và điện trở r = 10Ω. Tổng trở của mạch là:
A. 120Ω. B. 140Ω. C. 100Ω. D. 90Ω.