Đề thi thử Đại học năm 2013 - môn Sinh học (Đề 03)
Đề thi thử đại học môn Sinh học
|
SỞ GD&ĐT KHÁNH HÒA TRƯỜNG THPT NGÔ GIA TỰ |
ĐỀ THI THỬ ĐẠI HỌC NĂM 2012 - 2013 Thời gian làm bài: 90 phút, không kể thời gian phát đề |
Đề số 03
I. PHẦN CHUNG CHO CÁC THÍ SINH (40 câu, từ câu 1 đến câu 40)
Câu 1: Giả sử năng lượng đồng hóa của các sinh vật dị dưỡng trong một chuỗi thức ăn như sau:
Sinh vật tiêu thụ bậc 1: 1 500 000 Kcal Sinh vật tiêu thụ bậc 2: 180 000 Kcal
Sinh vật tiêu thụ bậc 3: 18 000 Kcal Sinh vật tiêu thụ bậc 4: 1 620 Kcal
Hiệu suất sinh thái giữa bật dinh dưỡng cấp 3 với bậc dinh dưỡng cấp 2 và giữa bật dinh dưỡng cấp 4 với bật dinh dưỡng cấp 3 trong chuỗi thức ăn trên lần lượt là :
A. 10% và 12% B. 12% và 10% C. 9% và 10% D. 10% và 9%
Câu 2: Theo thuyết tiến hoá hiện đại, chọn lọc tự nhiên đóng vai trò:
A. sàng lọc và giữ lại những cá thể có kiểu gen quy định kiểu hình thích nghi mà không tạo ra các kiểu gen thích nghi.
B. tạo ra các kiểu gen thích nghi từ đó tạo ra các cá thể có kiểu gen quy định kiểu hình thích nghi.
C. tạo ra các kiểu gen thích nghi mà không đóng vai trò sàng lọc và giữ lại những cá thể có kiểu gen quy định kiểu hình thích nghi.
D. vừa giữ lại những cá thể có kiểu gen quy định kiểu hình thích nghi, vừa tạo ra các kiểu gen thích nghi.
Câu 3: Mỗi gen trong cặp gen dị hợp đều chứa 2998 liên kết phốt phođieste nối giữa các nuclêôtít. Gen trội D chứa 17,5% số nuclêottít loại T. Gen lặn d có A = G = 25%. Tế bào mang kiểu gen Ddd giảm phân bình thường thì loại giao tử nào sau đây không thể tạo ra?
A. Giao tử có 1275 Timin B. Giao tử có 1275 Xitôzin
C. Giao tử có 1050 Ađêmin D. Giao tử có 1500 Guanin
Câu 4: Khi nói về sự phân bố cá thể trong quần thể sinh vật, phát biểu nào sau đây không đúng?
A. Phân bố theo nhóm là kiểu phân bố phổ biến nhất, giúp các cá thể hỗ trợ nhau chống lại điều kiện bất lợi của môi trường.
B. Phân bố ngẫu nhiên thường gặp khi điều kiện sống phân bố đồng đều trong môi trường và không có sự cạnh tranh gay gắt giữa các cá thể trong quần thể.
C. Phân bố đồng đều có ý nghĩa làm giảm mức độ cạnh tranh giữa các cá thể trong quần thể.
D. Phân bố theo nhóm thường gặp khi điều kiện sống phân bố đồng đều trong môi trường, có sự cạnh tranh gay gắt giữa các cá thể trong quần thể.
Câu 5: Phát biểu nào sau đây là đúng về sự tăng trưởng của quần thể sinh vật?
A. Khi môi trường không bị giới hạn, mức sinh sản của quần thể luôn nhỏ hơn mức tử vong.
B. Khi môi trường bị giới hạn, mức sinh sản của quần thể luôn lớn hơn mức tử vong.
C. Khi môi trường bị giới hạn, mức sinh sản của quần thể luôn tối đa, mức tử vong luôn tối thiểu.
D. Khi môi trường không bị giới hạn, mức sinh sản của quần thể là tối đa, mức tử vong là tối thiểu.
Câu 6: Ở bò, kiểu gen AA qui định tính trạng lông đen, kiểu gen Aa qui định tính trạng lông lang đen trắng, kiểu gen aa qui định tính trạng lông vàng. Gen B qui định tính trạng không sừng, b qui định tính trạng có sừng. Gen D qui định tính trạng chân cao, d qui định tính trạng chân thấp.Các gen nằm trên NST thường, bố mẹ AaBbDD x AaBbdd, tỉ lệ kiểu hình ở thế hệ lai là:
A. 3 đen, không sừng, cao : 6 lang, không sừng, cao : 3 vàng, không sừng, cao : 1 đen, có sừng, cao : 2 lang, có sừng, cao : 1 vàng, có sừng, cao.
B. 6 đen, không sừng, cao : 3 lang, không sừng, cao : 3 vàng, không sừng, cao : 1 đen, có sừng, cao : 2 lang, có sừng, cao : 1 vàng, có sừng, cao.
C. 9 đen, không sừng, cao:3 đen, có sừng, cao:3 lang, không sừng, cao: 1 lang, không sừng, cao.
D. 3 đen, không sừng, cao : 6 lang, có sừng, cao : 3 vàng, không sừng, cao : 1 đen, có sừng, cao : 2 lang, không sừng, cao : 1 vàng, có sừng, cao.
Câu 7: Trong một quần thể thực vật giao phấn, xét một lôcut có hai alen, alen A quy định thân cao trội hoàn toàn so với alen a quy định thân thấp. Quần thể ban đầu (P) có kiểu hình thân thấp chiếm tỉ lệ 25%. Sau một thế hệ ngẫu phối và không chịu tác động của các nhân tố tiến hóa, kiểu hình thân thấp ở thế hệ con chiếm tỉ lệ 16%. Tính theo lí thuyết, thành phần kiểu gen của quần thể (P) là:
A. 0,25AA : 0,50Aa : 0,25aa B. 0,30AA : 0,45Aa : 0,25aa
C. 0,10AA : 0,65Aa : 0,25aa D. 0,45AA : 0,30Aa : 0,25aa
Câu 8: Gen 1 có 3 alen, gen 2 có 2 alen, cả 2 gen này cùng nằm trên NST X (không có alen tương ứng nằm trên Y); gen 3 nằm trên NST Y (không có alen tương ứng trên NST X) có 3 alen. Số loại kiểu gen tối đa được tạo ra trong quần thể là:
A. 85. B. 36. C. 39. D. 108
Câu 9: Ở một loài thực vật (2n = 22), cho lai hai cây lưỡng bội với nhau được các hợp tử F1. Một trong số các hợp tử này nguyên phân liên tiếp 4 đợt ở kì giữa của lần nguyên phân thứ 4, người ta đếm được trong các tế bào con có 368 cromatít. Hợp tử này là dạng đột biến nào?
A. Thể một. B. Thể không. C. Thể ba. D. Thể bốn.
Câu 10: Ở người, gen lặn gây bệnh bạch tạng nằm trên nhiễm sắc thể thường, alen trội tương ứng quy định da bình thường. Giả sử trong quần thể người, cứ trong 100 người da bình thường thì có một người mang gen bạch tạng. Một cặp vợ chồng có da bình thường, xác suất sinh con bình thường của họ là
A. 0,0025%. B. 99,9975%. C. 0,75%. D. 99,25%.
Câu 11: Ở cà chua gen A quy định thân cao; a: thân thấp; B: quả tròn; b: quả bầu dục. Hai cặp gen này cùng nằm trên 1 cặp NST tương đồng.Cho lai giữa 2 thứ cà chua thuần chủng khác nhau về 2 cặp tính trạng tương phản được F1 toàn cà chua thân cao, quả tròn. Cho F1 giao phấn ở F2 thu được kết quả như sau: 295 thân cao, quả tròn; 79 thân cao, quả bầu dục;81 thân thấp, quả tròn; 45 thân thấp, quả bầu dục. Hãy xác định kiểu gen của cà chua F1 với tần số hoán vị gen. Biết rằng quá trình giảm phân tạo giao tử giống nhau.

Câu 12: Phát biểu nào sau đây không đúng khi đề cập đến tiến hoá nhỏ?
A. Quá trình biến đổi thành phần kiểu gen của quần thể
B. Diễn ra trong phạm vi phân bố khá hẹp qua thời gian tương đối ngắn và có thể nghiên cứu bằng thực nghiệm
C. Chịu tác động của quá trình đột biến, giao phối, chọn lọc.
D. Tạo thành loài mới chưa cách li sinh sản hẳn với quần thể gốc
Câu 13: Ở một loài thực vật, alen A quy định quả đỏ trội hoàn toàn so với alen a quy định quả vàng. Dùng cônsixin xử lí các hạt của cây lưỡng bội (P), sau đó đem gieo các hạt này thu được các cây F1. Chọn ngẫu nhiên hai cây F1 cho giao phấn với nhau, thu được F2 gồm 1190 cây quả đỏ và 108 cây quả vàng. Cho biết quá trình giảm phân không xảy ra đột biến, các cây tứ bội đều tạo giao tử 2n có khả năng thụ tinh. Tính theo lí thuyết, tỉ lệ kiểu gen của F2 là:
A. 5 AAA : 1AAa : 5 Aaa : 1 aaa B. 5 AAA : 1 AAa : 1 Aaa : 5 aaa
C. 1 AAA : 5 AAa : 1Aaa : 5 aaa D. 1 AAA : 5 AAa : 5 Aaa : 1 aaa
Câu 14: Để tìm hiểu hiện tượng kháng thuốc ở sâu bọ, người ta đã làm thí nghiệm dùng DDT để xử lí các dòng ruồi giấm được tạo ra trong phòng thí nghiệm. Ngay từ lần xử lí đầu tiên, tỉ lệ sống sót của các dòng đã rất khác nhau (thay đổi từ 0% đến 100% tuỳ dòng). Kết quả thí nghiệm chứng tỏ khả năng kháng DDT
A. không liên quan đến đột biến hoặc tổ hợp đột biến đã phát sinh trong quần thể.
B. liên quan đến những đột biến và tổ hợp đột biến phát sinh ngẫu nhiên từ trước.
C. là sự biến đổi đồng loạt để thích ứng trực tiếp với môi trường có DDT.
D. chỉ xuất hiện tạm thời do tác động trực tiếp của DDT.
Câu 15: Một gen thực hiện 2 lần phiên mã đòi hỏi môi trường cung cấp số lượng nuclêotit các loại: A=400, U=360, G=240, X=480. Số lượng nuclêotit từng loại của gen là
A. A=T=380, G=X=360 B. A=T=360, G=X=380
C. A=180, T=200, G=240, X=360 D. A=200, T=180, G=120, X=240
Câu 16: Các loài sâu ăn lá thường có màu xanh lục lẫn với màu xanh của lá, nhờ đó mà khó bị chim ăn sâu phát hiện và tiêu diệt. Theo sinh học hiện đại, đặc điểm thích nghi này được hình thành do
A. ảnh hưởng trực tiếp của thức ăn là lá cây có màu xanh làm biến đổi màu sắc cơ thể sâu.
B. khi chuyển sang ăn lá, sâu tự biến đổi màu cơ thể để thích nghi với môi trường.
C. chọn lọc tự nhiên tích luỹ các đột biến màu xanh lục xuất hiện ngẫu nhiên trong quần thể sâu.
D. chọn lọc tự nhiên tích luỹ các biến dị cá thể màu xanh lục qua nhiều thế hệ.
Câu 17: Để xác định mức phản ứng của một kiểu gen thứ tự nào dưới đây là đúng
A. 1- nuôi trồng trong các điều kiện khác nhau 2- theo dõi,thống kê kiểu hình 3-tạo ra các cá thể có cùng một kiểu gen
B. 1-tạo ra các cá thể có cùng một kiểu gen 2- nuôi trồng trong các điều kiện khác nhau 3- theo dõi,thống kê kiểu hình
C. 1- theo dõi,thống kê kiểu hình 2-tạo ra các cá thể có cùng một kiểu gen 3- nuôi trồng trong các điều kiện khác nhau
D. 1-tạo ra các cá thể có cùng một kiểu gen 2- theo dõi,thống kê kiểu hình 3- nuôi trồng trong các điều kiện khác nhau
Câu 18: Để có thể tạo ra một cành tứ bội trên cây lưỡng bội, đã xảy ra hiện tượng
A. Không phân li của toàn bộ bộ NST 2n trong nguyên phân của tế bào soma ở đỉnh sinh trưởng của cành cây.
B. Không phân li của toàn bộ bộ NST 2n trong lần nguyên phân đầu tiên của hợp tử
C. Không phân li của toàn bộ bộ NST 2n trong nguyên phân của tế bào soma tạo ra tế bào 4n
D. Không phân li của toàn bộ bộ NST 2n trong giảm phân của tế bào sinh dục tạo giao từ 2n, qua thụ tinh tạo ra từ tứ bội
Câu 19: Các kỉ trong đại Cổ sinh được xếp theo thứ tự lần lượt là
A. Cambri -> Ôcđôvic -> Xilua -> Đêvôn -> Than đá -> Pecmi.
B. Ôcđôvic -> Cambri -> Xilua -> Than đá -> Pecmi -> Đêvôn.
C. Ôcđôvic -> Xilua -> Đêvôn -> Cambri -> Than đá -> Pecmi.
D. Cambri -> Xilua -> Than đá -> Ốcđôvic -> Pecmi -> Đềvôn.
Câu 20: Nguyên nhân dẫn đến sinh khối của bậc dinh dưỡng sau nhỏ hơn sinh khối của bậc dinh dưỡng trước trong chuỗi thức ăn là:
A. quá trình hấp thu của cơ thể thuộc mắt xích sau thấp hơn so với cơ thể thuộc mắt xích trước.
B. hiệu suất sinh thái của mắt xích sau thấp hơn hiệu suất sinh thái thuộc mắt xích trước.
C. quá trình bài tiết và hô hấp của cơ thể sống.
D. sản lượng của sinh vật thuộc mắt xích trước cao hơn sản lượng sinh vật thuộc mắt xích sau.
Câu 21: Cho giao phấn hai cây hoa trắng thuần chủng (P) với nhau thu được F1 toàn cây hoa đỏ. Cho cây F1 tự thụ phấn, thu được F2 gồm 89 cây hoa đỏ và 69 cây hoa trắng không xảy ra đột biến, tính theo lí thuyết. tỉ lệ phân li kiểu gen ở F2 là:
A. 4 :2 : 2: 2:2 :1 :1 : 1 :1 B. 1: 2 :1 :2 :4 :2 :1 :1 :1
C. 1 : 2 : 1 : 1 : 2 : 1 :1 :2 :1 D. 3 : 3 : 1 :1 : 3 : 3: 1: 1 : 1
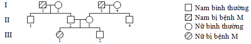
Câu 22: Khảo sát sự di truyền bệnh M ở người qua ba thế hệ như sau:

Xác suất để người III2 không mang gen bệnh là bao nhiêu:
A. 0,5 B. 0,33 C. 0,25 D. 0,75
Câu 23: Đóng góp quan trọng nhất của học thuyết Đacuyn là
A. giải thích được sự hình thành loài mới.
B. phát hiện vai trò của CLTN và chọn lọc nhân tạo trong tiến hóa của vật nuôi, cây trồng và các loài hoang dại.
C. chứng minh toàn bộ sinh giới ngày nay có một nguồn gốc chung.
D. đề xuất khái niệm biến dị cá thể, nêu lên tính vô hướng của loại biến dị này.
Câu 24: Trong quá trình giảm phân ở một cơ thể có kiểu gen AaBbXDeXdE đã xảy ra hoán vị gen giữa các alen D và d với tần số 20%. Cho biết không xảy ra đột biến, tính theo lí thuyết, tỉ lệ loại giao tử abXdeđược tạo ra từ cơ thể này là :
A. 10,0% B. 7,5% C. 5,0% D. 2,5%
Câu 25: Nói về nhân tố sinh thái, phát biểu nào là đầy đủ nhất: Nhân tố sinh thái là
A. Nhân tố môi trường tác động trực tiếp hoặc gián tiếp lên sinh vật, sinh vật có phản ứng để thích nghi
B. Nhân tố môi trường tác động gián tiếp lên sinh vật, sinh vật có phản ứng để thích nghi
C. Nhân tố môi trường tác động trực tiếp lên sinh vật, sinh vật có phản ứng để tự vệ
D. Nhân tố môi trường tác động trực tiếp lên sinh vật, sinh vật có phản ứng để thích nghi
Câu 26: Nếu kích thước của quần thể xuống dưới mức tối thiểu thì quần thể sẽ suy thoái và dễ bị diệt vong vì nguyên nhân chính là
A. Mất hiệu quả nhóm. B. Sức sinh sản giảm.
C. Gen lặn có hại biểu hiện. D. Không kiếm đủ thức ăn.
Câu 27: Cơ chế hình thành hợp tử XYY ở người có liên quan đến
A. Cặp nhiễm sắc thể giới tính XX của mẹ sau khi tự nhân đôi không phân ly ở kỳ sau phân bào I của giảm phân tạo giao tử XX.
B. Cặp nhiễm sắc thể giới tính của bố sau khi tự nhân đôi không phân ly ở phân bào II của giảm phân tạo giao tử YY.
C. Cặp nhiễm sắc thể giới tính của bố và mẹ đều không phân ly ở kỳ sau phân bào I của giảm phân tạo giao tử XX và YY.
D. Cặp nhiễm sắc thể giới tính XY sau khi tự nhân đôi không phân ly ở kỳ sau phân bào I của giảm phân ở bố tạo giao tử XY.
Câu 28: Một đột biến gen làm mất 3 cặp nu ở vị trí số 5 ; 10 và 31.Cho rằng bộ ba mới và bộ ba cũ không cùng mã hóa một loại axitamin và đột biến không ảnh hưởng đến bộ ba kết thúc.Hậu quả của đột biến trên là :
A. Mất 1 axitamin và làm thay đổi 10 axitamin liên tiếp sau axitamin thứ nhất của chuổi pôlipeptit.
B. Mất 1 axitamin và làm thay đổi 9 axitamin liên tiếp sau axitamin thứ nhất của chuổi pôlipeptit.
C. Mất 1 axitamin và làm thay đổi 10 axitamin đầu tiên của chuổi pôlipeptit.
D. Mất 1 axitamin và làm thay đổi 9 axitamin đầu tiên của chuổi pôlipeptit.
Câu 29: Phát biểu nào sau đây không đúng về quá trình hình thành loài mới bằng con đường địa lý (hình thành loài khác khu vực địa lý)
A. Hình thành loài mới bằng con đường địa lý hay xảy ra đối với các loài động vật có khả năng phát tán mạnh.
B. Điều kiện địa lý là nguyên nhân trực tiếp gây ra những biến đổi tương ứng trên cơ thể sinh vật, từ đó tạo thành loài mới.
C. Trong những điều kiện địa lý khác nhau, CLTN đã tích lũy các đột biến và các biến dị tổ hợp theo những hướng khác nhau.
D. Hình thành loài mới bằng con đường địa lý diễn ra chậm chạp trong thời gian lịch sử lâu dài.
Câu 30: Mô tả nào sau đây về tARN là đúng
A. tARN là một polinuclêôtit gồm 80-100 nuclêotit cuộn xoắn 1 đầu, trên cơ sở liên kết theo NTBS giữa tất cả các ribônuclêotit , 1 đầu mang axitamin và một đầu mang bộ ba đối mã
B. tARN là một polinuclêôtit gồm 80-100 ribônuclêotit không tạo xoắn, 1 đầu mang axitamin và một đầu mang bộ ba đối mã
C. tARN là một polinuclêôtit gồm 80-100 nuclêotit cuộn xoắn ở 1 đầu có đoạn có cặp bazơnitric liên kết theo NTBS tạo nên các thuỳ tròn, một đầu tự do mang axitamin đặc hiệu và một thuỳ tròn mang bộ ba đối mã
D. tARN là một polinuclêôtit có số nuclêotit tương ứng với số nuclêotit trên 1 mạch của gen cấu trúc
Câu 31: Sự khám phá ra quy luật di truyền liên kết gen đã không bác bỏ mà còn bổ sung cho quy luật phân ly độc lập vì:
A. Mỗi gen đều quy định 1 tính trạng và gen trội là trội hoàn toàn
B. Các gen cùng 1 nhiễm sắc thể liên kết với nhau còn các gen nằm trên các cặp nhiễm sắc thể đồng dạng nhau phân ly độc lập với nhau trong quá trình di truyền.
C. Số lượng gen trong tế bào rất lớn còn số lượng NST lại hạn chế
D. Trên mỗi cặp nhiễm sắc thể có rất nhiều cặp gen và trong mỗi tế bào có nhiều cặp nhiễm sắc thể đồng dạng nhau.
Câu 32: Ở thực vật, để chọn, tạo giống mới người ta sử dụng các phương pháp sau:
1. Tự thụ phấn bắt buộc qua nhiều thế hệ. 2. Cho thụ phấn khác loài kết hợp với gây đột biến đa bội.
3. Dung hợp tế bào trần khác loài. 4. Nuôi cấy hạt phấn rồi tiến hành lưỡng bội hoá các dòng đơn bội.
Các phương pháp tạo giống mới có độ thuần chủng cao là:
A. (1) ; (3) B. (2) ; (3) C. (1) ; (4) D. (2) ; (4)
Câu 33: Ở thực vật, người ta tiến hành giao phấn giữa 2 cây P, thu được F1 có 240 cây có hoa trắng; 60 cây có hoa vàng và 20 cây có hoa tím. Nếu cho cây P nói trên lai phân tích thì kết quả thu được ở con lai là:
A. 75% trắng; 12,5% vàng; 12,5% tím. B. 25% trắng; 50% vàng; 25% tím.
C. 75% vàng; 12,5% trắng; 12,5% tím. D. 25% vàng; 50% trắng; 25% tím.
Câu 34: Một quần thể thực vật tự thụ phấn có tỉ lệ kiểu gen ở thế hệ P là: 0,45AA : 0,30Aa : 0,25aa. Cho biết các cá thể có kiểu gen aa không có khả năng sinh sản. Tính theo lí thuyết, tỉ lệ các kiểu gen thu được ở F2 là:
A. 7/10AA : 2/10Aa : 1/10aa. B. 15/18 AA : 1/9 Aa : 1/18 aa.
C. 9/25 AA : 12/25 Aa : 4/25 aa. D. 21/40 AA : 3/20 Aa : 13/40aa.
Câu 35: Cho cặp P thuần chủng về các gen tương phản giao phấn với nhau. Tiếp tục tự thụ phấn các cây F1 với nhau, thu được F2 có 75 cây mang kiểu gen aabbdd. Về lí thuyết, hãy cho biết số cây mang kiểu gen AaBbDd ở F2 là bao nhiêu?
A. 300 cây. B. 150 cây. C. 450 cây. D. 600 cây.
Câu 36: Ưu thế nổi bật của kĩ thuật di truyền là
A. tạo ra được các thực vật chuyển gen cho năng xuất rất cao và có nhiều đặc tính quí.
B. tạo ra được các động vật chuyển gen mà các phép lai khác không thể thực hiện được.
C. sản xuất một loại prôtêin nào đó với số lượng lớn trong một thời gian ngắn.
D. khả năng cho tái tổ hợp thông tin di truyền giữa các loài rất xa nhau trong hệ thống phân loại.
Câu 37: Có 3 đứa trẻ sơ sinh bị nhầm lẫn ở một bệnh viện .Sau khi xem xét các dữ kiện, hãy cho biết tập hợp (cặp cha mẹ - con ) nào dưới đây là đúng?

A. I -3, II -1, III -2 B. I -2, II -3, III -1 C. I -1, II -3, III -2 D. I -1, II -2, III -3
Câu 38: Xét 1 gen gồm 2 alen (A ,a) nằm trên nhiễm sắc thể thường. Tỉ lệ của alen A trong giao tử đực của quần thể ban đầu là 0,5. Qua ngẫu phối, quần thể F2 đạt cân bằng với cấu trúc di truyền là 0,36AA : 0,48Aa : 0,16aa. Tỉ lệ mỗi alen ( A,a) trong giao tử cái ở quần thể ban đầu là:
A. A : a = 0,7 : 0,3. B. A : a = 0,5 : 0,5. C. A : a = 0,8 : 0,2. D. A : a = 0,6 : 0,4.
Câu 39: Phát biểu nào sau đây chưa chính xác? Tần số hoán vị gen được tính bằng:
A. tỷ lệ phần trăm số giao tử mang gen hoán vị trên tổng số giao tử sinh ra.
B. tỷ lệ phần trăm số cá thể mang kiểu hình khác bố mẹ trên tổng cá thể thu được trong phép lai phân tích.
C. tỷ lệ phần trăm giữa số cá thể có trao đổi chéo trên tổng số cá thể thu được trong phép lai phân tích.
D. tỷ lệ phần trăm số giao tử mang gen liên kết trên tổng số giao tử sinh ra.
Câu 40: Trong thí nghiệm của mình, Miller và Urey đã mô phỏng khí quyển nguyên thủy của Trái Đất trong phòng thí nghiệm để tổng hợp hợp chất hữu cơ từ chất vô cơ, vậy những khí nào được hai ông sử dụng
A. H2O, CO2, CH4, N2 B. H2O, CO2, CH4, NH3
C. H2O, CH4, NH3, H2 D. H2O, O2, CH4, N2
II. PHẦN RIÊNG (10 câu) : thí sinh chọn 1 trong trong 2 phần A hoặc B
A.Theo chương trình Cơ bản (10 câu. Từ câu 41 đến câu 50)
Câu 41: Cơ thể mang kiểu gen DDd có thể thuộc thể đột biến nào sau đây?
A. Thể 4 nhiễm hoặc thể 2 nhiễm kép B. Thể 4n hoặc thể 3 nhiễm
C. Thể 3n hoặc thể 3 nhiễm kép D. Thể 3n hoặc thể 3 nhiễm
Câu 42: Người ta phải dùng thể truyền để chuyển một gen
từ tế bào này sang tế bào khác là vì
A. Nếu không có thể truyền thì gen có vào được tế bào nhận cũng không thể nhân lên và phân li đồng đều về các tế bào con khi tế bào phân chia.
B. Nếu không có thể truyền thì gen cần chuyển sẽ không chui vào được tế bào nhận.
C. Nếu không có thể truyền thì gen sẽ không thể tạo ra sản phẩm trong tế bào nhận
D. Nếu không có thể truyền thì khó có thể thu được nhiều sản phẩm của gen trong tế bào nhận.
Câu 43: Sự kiện đáng chú ý nhất trong đại cổ sinh là gì?
A. Sự hình thành đầy đủ các ngành động vật không xương sống.
B. Sự chinh phục đất liền của thực vật và động vật.
C. Sự xuất hiện lưỡng cư và bò sát.
D. Sự xuất hiện quyết trần.
Câu 44: Ở một ruồi giấm cái có kiểu gen , khi theo dõi 2000 tế bào sinh trứng trong điều kiện thí nghiệm, người ta phát hiện 360 tế bào có xảy ra hoán vị gen giữa V và v. Như vậy khoảng cách giữa 2 trên là:
A. 3,6 cM. B. 18 cM. C. 36 cM. D. 9 cM.
Câu 45: Ở người, alen A quy định máu đông bình thường màu bình thường trội hoàn toàn so với alen a gây bệnh mù màu đỏ - xanh lục. Gen này nằm trên đoạn không tương đồng của nhiễm sắc thể giới tính X. Trong một gia đình, người bố có mắt nhìn màu bình thường, người mẹ bị mù màu, sinh ra người con trai thứ nhất có mắt nhìn màu bình thường, người con trai thứ hai bị mù màu. Biết rằng không có đột biến gen và đột biến cấu trúc nhiễm sắc thể, quá trình giảm phân ở tế bào sinh dục của mẹ diễn ra bình thường. Kiểu gen của hai người con trai này lần lượt là những kiểu gen nào sau đây?
A. XAXaY, XaY B. XAXAY, XaY C. XAXaY, Xa XaY D. XAY, XaY
Câu 46: Ở người bệnh mù màu do gen lặn m nằm trên NST giới tính X quy định, gen trội M quy định bình thường. Cấu trúc di truyền nào sau đây trong quần thể người ở trạng thái cân bằng ?
A. Nữ giới ( 0,49 XMXM : 0,42 XMXm : 0,09 XmXm ), nam giới ( 0,3 XMY : 0,7 XmY ).
B. Nữ giới ( 0,36 XMXM : 0,48 XMXm : 0,16 XmXm ), nam giới ( 0,4 XMY : 0,6 XmY ).
C. Nữ giới ( 0,81 XMXM : 0,18 XMXm : 0,01 XmXm ), nam giới ( 0,9 XMY : 0,1 XmY ).
D. Nữ giới ( 0,04 XMXM : 0,32 XMXm : 0,64 XmXm ), nam giới ( 0,8 XMY : 0,2 XmY ).
Câu 47: Cho biết mỗi gen quy định một tính trạng, alen trội là trội hoàn toàn và không xảy ra đột biến. Trong một phép lai, người ta thu được đời con có kiểu hình phân li theo tỉ lệ 3A-B- : 3aaB- : 1A-bb : 1aabb. Phép lai nào sau đây phù hợp với kết quả trên ?
A. Aabb x aaBb. B. AaBb x AaBb. C. AaBb x aaBb. D. AaBb x Aabb
Câu 48: Trong một ao, người ta có thể nuôi kết hợp nhiều loại cá: cá mè trắng, mè hoa, trắm cỏ, trắm đen, trôi, chép,....Vì:
A. mỗi loài có một ổ sinh thái riêng nên sẽ giảm mức độ cạnh tranh gay gắt với nhau.
B. tận dụng được nguồn thức ăn là các loài động vật nổi và tảo.
C. tạo sự đa dạng loài trong hệ sinh thái ao.
D. tận dụng nguồn thức ăn là các loài động vật đáy.
Câu 49: Một số đặc điểm không được xem là bằng chứng về nguồn gốc động vật của loài người:
A. Chữ viết và tư duy trừu tượng.
B. Sự giống nhau về cấu tạo bộ xương của người và động vật có xương sống.
C. Sự giống nhau trong phát triển phôi của người và phôi của động vật có xương sống.
D. Các cơ quan thoái hoá (ruột thừa, nếp thịt nhỏ ở khoé mắt).
Câu 50: Cho các dạng biến động số lượng cá thể của quần thể sinh vật sau:
(1) Ở miền Bắc Việt Nam, số lượng bò sát giảm mạnh vào những năm có mùa đông giá rét, nhiệt độ xuống dưới 80 C.
(2) Ở Việt Nam, vào mùa xuân và mùa hè có khí hậu ấm áp, sâu hại xuất hiện nhiều.
(3) Số lượng cây tràm ở rừng U Minh Thượng giảm mạnh sau sự cố cháy rừng tháng 3 năm 2002.
(4) Hàng năm, chim cu gáy thường xuất hiện nhiều vào mùa thu hoạch lúa, ngô.
Những dạng biến động số lượng cá thể của quần thể sinh vật theo chu kì là
A. (2) và (4). B. (1) và (3). C. (1) và (4). D. (2) và (3).