Đề thi thử Đại học năm 2013 - môn Toán (Đề 22)
ĐỀ THI THỬ ĐẠI HỌC - CAO ĐẲNG
NĂM 2012 - 2013
MÔN THI: TOÁN
Đề số 22
PHẦN CHUNG CHO TẤT CẢ CÁC THÍ SINH (8 điểm):
Câu 1: ( 2 điểm)
Cho hàm số y = 4x3 + mx2 – 3x
1. Khảo sát và vẽ đồ thị (C) hàm số khi m = 0.
2. Tìm m để hàm số có hai cực trị tại x1 và x2 thỏa x1 = - 4x2
Câu 2: (2 điểm)
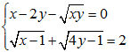
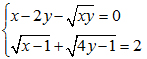
1. Giải hệ phương trình: 
2. Giải phương trình: 
Câu 3: (2 điểm)
1. Cho hình chóp S.ABC có SA vuông góc với mặt phẳng (ABC), tam giác ABC vuông tại C ; M,N là hình chiếu của A trên SB, SC. Biết MN cắt BC tại T. Chứng minh rằng tam giác AMN vuông và AT tiếp xúc với mặt cầu đường kính AB.
2. Tính tích phân: 
Câu 4: (2 điểm)
1. Trong không gian với hệ trục tọa độ Oxyz, cho bốn điểm A(4;5;6); B(0;0;1); C(0;2;0); D(3;0;0). Chứng minh các đường thẳng AB và CD chéo nhau. Viết phương trình đường thẳng (D) vuông góc với mặt phẳng Oxy và cắt được các đường thẳng AB; CD.
2. Cho ba số thực dương a, b, c thỏa: 
Tìm giá trị lớn nhất của biểu thức S = a + b + c
B. PHẦN TỰ CHỌN: Thí sinh chỉ chọn câu 5a hoặc 5b
Câu 5a: Theo chương trình chuẩn: ( 2 điểm)
1. Trong không gian với hệ trục tọa độ Oxyz, cho điểm A(4;5;6). Viết phương trình mặt phẳng (P) qua A; cắt các trục tọa độ lần lượt tại I; J; K mà A là trực tâm của tam giác IJK.
2. Biết (D) và (D’) là hai đường thẳng song song. Lấy trên (D) 5 điểm và trên (D’) n điểm và nối các điểm ta được các tam giác. Tìm n để số tam giác lập được bằng 45.
Câu 5b: Theo chương trình nâng cao: ( 2 điểm)
1. Trong mặt phẳng với hệ trục tọa độ Oxy, cho đường thẳng (D): x – 3y – 4 = 0 và đường tròn (C): x2 + y2 – 4y = 0. Tìm M thuộc (D) và N thuộc (C) sao cho chúng đối xứng qua A(3;1).
2. Tìm m để bất phương trình: 52x – 5x+1 – 2m5x + m2 + 5m > 0 thỏa với mọi số thực x.