Đề thi thử Đại học năm 2013 - môn Toán (Đề 26)
ĐỀ THI THỬ ĐẠI HỌC - CAO ĐẲNG
NĂM 2012 - 2013
MÔN THI: TOÁN
Đề số 26
PHẦN CHUNG CHO TẤT CẢ CÁC THÍ SINH (7 điểm)
Câu I (2 điểm) Cho hàm số y = f(x) = 8x4 - 9x2 + 1
1. Khảo sát sự biến thiên và vẽ đồ thị (C) của hàm số.
2. Dựa vào đồ thị (C) hãy biện luận theo m số nghiệm của phương trình:

Câu II (2 điểm): Giải phương trình, hệ phương trình:
Câu III: Tính diện tích của miền phẳng giới hạn bởi các đường y = |x2 - 4x| và y = 2x
Câu IV (1 điểm) Cho hình chóp cụt tam giác đều ngoại tiếp một hình cầu bán kính r cho trước. Tính thể tích hình chóp cụt biết rằng cạnh đáy lớn gấp đôi cạnh đáy nhỏ.
Câu V (1 điểm) Định m để phương trình sau có nghiệm:

PHẦN RIÊNG (3 điểm): Thí sinh chỉ làm một trong hai phần (Phần 1 hoặc phần 2)
1. Theo chương trình chuẩn.
Câu VI.a (2 điểm)
1. Cho ABC có đỉnh A(1;2), đường trung tuyến BM: 2x + y + 1 = 0 và phân giác trong CD: x + y - 1 = 0. Viết phương trình đường thẳng BC.
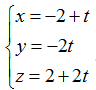
2. Cho đường thẳng (D) có phương trình: 
Gọi ∆ là đường thẳng qua điểm A(4;0;-1) song song với (D) và I(-2;0;2) là hình chiếu vuông góc của A trên (D). Trong các mặt phẳng qua ∆, hãy viết phương trình của mặt phẳng có khoảng cách đến (D) là lớn nhất.
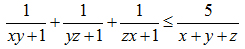
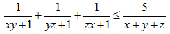
Câu VII.a (1 điểm) Cho x, y, z là 3 số thực thuộc (0;1]. Chứng minh rằng:

2. Theo chương trình nâng cao.
Câu VI.b (2 điểm)
1. Cho hình bình hành ABCD có diện tích bằng 4. Biết A(1;0), B(0;2) và giao điểm I của hai đường chéo nằm trên đường thẳng y = x. Tìm tọa độ đỉnh C và D.
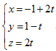
2. Cho hai điểm A(1;5;0), B(3;3;6) và đường thẳng ∆ có phương trình tham số
. Một điểm M thay đổi trên đường thẳng ∆ , tìm điểm M để chu vi tam giác MAB đạt giá trị nhỏ nhất.
Câu VII.b (1 điểm) Cho a, b, c là ba cạnh tam giác. Chứng minh:
