Đề thi thử Đại học năm 2013 - môn Toán (Đề 28)
ĐỀ THI THỬ ĐẠI HỌC - CAO ĐẲNG
NĂM 2012 - 2013
MÔN THI: TOÁN
Đề số 28
Câu I: (2 điểm) Cho hàm số: y = x3 - 3(m + 1)x2 + 9x + m - 2 (1) có đồ thị là (Cm)
1) Khảo sát và vẽ đồ thị hàm số (1) với m =1.
2) Xác định m để (Cm) có cực đại, cực tiểu và hai điểm cực đại cực tiểu đối xứng với nhau qua đường thẳng 
Câu II: (2,5 điểm)
1) Giải phương trình:

2) Giải bất phương trình: 
3) Tính diện tích hình phẳng giới hạn bởi các đường y = x.sin2x, y = 2x, x = π/2.
Câu III: (2 điểm)
1) Cho hình lăng trụ ABC.A’B’C’ có đáy ABC là tam giác đều cạnh a, cạnh bên hợp với đáy một góc là 450. Gọi P là trung điểm BC, chân đường vuông góc hạ từ A’ xuống (ABC) là H sao cho
. gọi K là trung điểm AA’, (α) là mặt phẳng chứa HK và song song với BC cắt BB’ và CC’ tại M, N. Tính tỉ số thể tích 
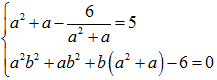
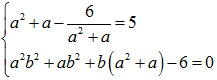
2) Giải hệ phương trình sau trong tập số phức: 
Câu IV: (2,5 điểm)
1) Cho m bông hồng trắng và n bông hồng nhung khác nhau. Tính xác suất để lấy được 5 bông hồng trong đó có ít nhất 3 bông hồng nhung? Biết m, n là nghiệm của hệ sau:

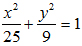
2 ) Cho Elip có phương trình chính tắc
(E), viết phương trình đường thẳng song song Oy và cắt (E) tại hai điểm A, B sao cho AB=4.
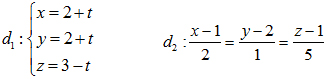
3) Cho hai đường thẳng d1 và d2 lần lượt có phương trình:

Viết phương trình mặt phẳng cách đều hai đường thẳng d1 và d2?
Câu V: Cho a, b, c ≥ 0 và a2 + b2 + c2 = 3. Tìm giá trị nhỏ nhất của biểu thức:
