Đề thi thử Đại học năm 2013 - môn Toán (Đề 3)
ĐỀ THI THỬ ĐẠI HỌC - CAO ĐẲNG
NĂM 2012 - 2013
MÔN THI: TOÁN
Đề số 03
PHẦN CHUNG CHO TẤT CẢ CÁC THÍ SINH (7,0 điểm)
Câu I (2 điểm)
1. Khảo sát sự biến thiên và vẽ đồ thị (C) của hàm số 
2. Viết phương trình tiếp tuyến của (C), biết khoảng cách từ điểm I(1;2) đến tiếp tuyến bằng 
Câu II (2 điểm)
1) Giải phương trình: 
2) Giải hệ phương trình: 
Câu III (1 điểm):
Tính tích phân: 
Câu IV (1 điểm):
Cho hình chóp S.ABC có đáy ABC là tam giác vuông tại A với AB = a, các mặt bên là các tam giác cân tại đỉnh S. Hai mặt phẳng (SAB) và (SAC) cùng tạo với mặt phẳng đáy góc 600. Tính côsin của góc giữa hai mặt phẳng (SAB) và (SBC) .
Câu V: (1 điểm) Cho a,b,c là các số dương thỏa mãn a + b + c = 1. Chứng minh rằng:

PHẦN RIÊNG (3 điểm) Thí sinh chỉ được làm một trong hai phần (phần A hoặc B)
A. Theo chương trình Chuẩn
Câu VI.a (1 điểm)
Trong mặt phẳng tọa độ Oxy cho điểm A(1;1) và đường thẳng d: 2x + 3y + 4 = 0.
Tìm tọa độ điểm B thuộc đường thẳng d sao cho đường thẳng AB và d hợp với nhau góc 450.
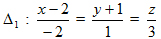
Câu VII.a (1 điểm): Trong không gian với hệ tọa độ Oxyz, cho điểm M(1;-1;1) và hai đường thẳng
Chứng minh: điểm M, (d), (d’) cùng nằm trên một mặt phẳng. Viết phương trình mặt phẳng đó.
Câu VIII.a (1 điểm)
Giải phương trình: 
Theo chương trình Nâng cao
Câu VI.b (1 điểm)
Trong mặt phẳng tọa độ Oxy cho đường tròn (C): x2 + y2 = 1, đường thẳng (d): x + y + m = 0. Tìm m để (C) cắt (d) tại A và B sao cho diện tích tam giác ABO lớn nhất.
Câu VII.b (1 điểm)
Trong không gian với hệ tọa độ Oxyz, cho ba mặt phẳng: (P): 2x – y + z + 1 = 0, (Q): x – y + 2z + 3 = 0, (R): x + 2y – 3z + 1 = 0 và đường thẳng
. Gọi ∆2 là giao tuyến của (P) và (Q).
Viết phương trình đường thẳng (d) vuông góc với (R) và cắt cả hai đường thẳng ∆1, ∆2
Câu VIII.b (1 điểm) Giải bất phương trình: