Đề thi thử Đại học năm 2013 - môn Toán (Đề 31)
ĐỀ THI THỬ ĐẠI HỌC - CAO ĐẲNG
NĂM 2012 - 2013
MÔN THI: TOÁN
Đề số 31
I. PHẦN CHUNG
Câu 1:
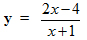
1. Khảo sát và vẽ đồ thị (C) của hàm số 
2. Tìm trên (C) hai điểm đối xứng nhau qua đường thẳng MN biết M(- 3;0) và N(- 1; - 1)
Câu 2:
1. Giải phương trình: 
2. Giải phương trình: 3x.2x = 3x + 2x + 1
Câu 3:
Tính tích phân: 
Câu 4:
Cho hình chóp tam gíac đều S.ABC độ dài cạnh bên bằng 1. Các mặt bên hợp với mặt phẳng đáy một góc α. Tính thể tích hình cầu nội tiếp hình chóp S.ABC.
Câu 5:
Cho đường thẳng (d):
và hai điểm A(1;2; - 1), B(7;-2;3). Tìm trên (d) những điểm M sao cho khoảng cách từ đó đến A và B là nhỏ nhất
II. PHẦN RIÊNG
1) Theo cương trình chuẩn:
Câu 6a:
1. Năm đoạn thẳng có độ dài 2cm, 4cm, 6cm, 8cm, 10cm. Lấy ngẫu nhiên ba đoạn thẳng trong năm đoạn thẳng trên. Tìm xác suất để ba đoạn thẳng lấy ra lập thành một tam giác.
2. Giải hệ phương trình: 
Câu 7a:
Tìm giá trị nhỏ nhất 
2) Theo chương trình nâng cao:
Câu 6b:
1. Tìm các giá trị x trong khai triển nhị thức Newton:
biết rằng số hạng thứ 6 của khai triển bằng 21 và 
2. Cho
. Tìm các số phức β sao cho β3 = α
Câu 7b:
Gọi a, b, c là ba cạnh của một tam giác có chu vi bằng 2. Chứng minh rằng:
