Đề thi thử đại học năm 2014 THPT chuyên Lương Thế Vinh, Đồng Nai
Đề thi thử đại học khối B
SỞ GIÁO DỤC & ĐÀO TẠO ĐỒNG NAI
|
THI THỬ ĐẠI HỌC LẦN THỨ NHẤT NĂM 2014
|
I. PHẦN CHUNG CHO TẤT CẢ CÁC THÍ SINH (7,0 điểm)
Câu 1 (2,0 điểm). Cho hàm số y = x3 - (m + 2)x2 + (m - 1)x + 2m - 1 (1), với m là tham số thực.
1) Khảo sát sự biến thiên và vẽ đồ thị (C) của hàm số (1) khi m = 1.
2) Tìm m để tiếp tuyến của đồ thị hàm số (1) tại điểm có hoành độ x = 1 và đường thẳng d: 2x + y - 1 = 0 tạo với nhau một góc 30o.
Câu 2 (1,0 điểm). Giải phương trình

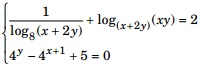
Câu 3 (1,0 điểm). Giải hệ phương trình

Câu 4 (1,0 điểm). Tính tích phân

Câu 5 (1,0 điểm).
Cho hình chóp S.ABCD có đáy ABCD là hình thoi cạnh a và góc BAD = 60o. Hình chiếu của S lên mặt phẳng (ABCD) là trọng tâm tam giác ABC. Góc giữa mặt phẳng (ABCD) và (SAB) bằng 60o. Tính thể tích khối chóp S.ABCD và khoảng cách giữa hai đường thẳng SC và AB.
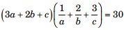
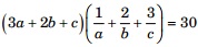
Câu 6 (1,0 điểm). Cho các số thực dương a, b, c thỏa mãn: ![]()
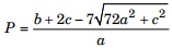
Tìm giá trị lớn nhất của biểu thức:![]()
II. PHẦN RIÊNG (3,0 điểm): Thí sinh chỉ được làm một trong hai phần (Phần A hoặc Phần B)
A. Theo chương trình Chuẩn
Câu 7.a (1,0 điểm). Trong mặt phẳng Oxy cho hình vuông ABCD có A(1; 1), AB = 4. Gọi M là trung điểm cạnh BC,
là hình chiếu vuông góc của D lên AM. Tìm tọa độ các đỉnh còn lại của hình vuông, biết xB < 2.
Câu 8.a (1,0 điểm). Trong không gian Oxyz cho đường thẳng
và 2 mặt phẳng (α): x + 2y + 2z + 1 = 0; (β): 2x - y - 2z + 7 = 0. Viết phương trình mặt cầu (S) có tâm nằm trên đường thẳng d và (S) tiếp xúc với hai mặt phẳng (α) và (β).
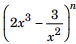
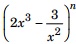
Câu 9.a (1,0 điểm). Cho n là số nguyên dương thỏa mãn. Tìm số hạng chứa x10 trong khai triển nhị thức Niu–tơn của
với x # 0.
B. Theo chương trình Nâng cao
Câu 7.b (1,0 điểm). Trong mặt phẳng Oxy cho tam giác ABC có trực tâm H(-6; 7), tâm đường tròn ngoại tiếp I(1; 1) và D(0; 4) là hình chiếu vuông góc của Alên đường thẳng BC. Tìm tọa độ đỉnh A.
Câu 8.b (1,0 điểm). Trong không gian Oxyz cho hai đường thẳng đường thẳng
và điểm A(2; 3; 3). Viết phương trình mặt cầu (S) đi qua A, có tâm nằm trên đường thẳng Δ và tiếp xúc với đường thẳng d.
Câu 9.b (1,0 điểm). Giải hệ phương trình
.