Đề thi thử đại học năm 2014 trường THPT Nguyễn Đăng Đạo, Bắc Ninh
Đề thi đại học khối A, B
SỞ GIÁO DỤC & ĐÀO TẠO BẮC NINH
|
ĐỀ THI THỬ ĐẠI HỌC LẦN 1 NĂM 2013 - 2014
|
Câu 1 (2 Điểm): Cho hàm số: y = x3 - m2x2 - 3x + m (Cm)
a, Khảo sát sự biến thiên và vẽ đồ thị hàm số với m = 0
b, Gọi A là điểm trên (Cm) và có hoành độ bằng -1. Tìm m để tiếp tuyến của (Cm) tại A song song với đường thẳng d: y = 2x + 2.
Câu 2 (1 Điểm): Giải phương trình lượng giác:
sin2x - cos2x - 2 = sinx - 3cosx
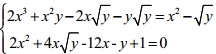
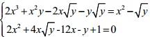
Câu 3 (1 Điểm): Giải hệ phương trình:
Câu 4 (1 Điểm): Tìm m để phương trình sau có đúng 1 nghiệm x < 1:![]()
Câu 5 (1 Điểm):
Cho hình chóp S.ABCD, đáy ABCD là hình chữ nhật, AB = 2AD = 2a. Mặt bên SAB là tam giác vuông tại S và vuông góc với mặt phẳng (ABCD). Góc giữa SA với mặt phẳng (ABCD) bằng 60o. Gọi M là trung điểm của SC. Tính thể tích khối chóp S.ABCD và khoảng cách giữa SB và DM.
Câu 6 (1 Điểm): Cho x, y, z là 3 số thực không âm thoả mãn: ![]()
Tìm giá trị lớn nhất của biểu thức: P = 2x3 + y3 + z3
Câu 7 (1 Điểm):
Trong mặt phẳng toạ độ Oxy, cho tam giác ABC có diện tích bằng 9/2. Các đỉnh A, B, C lần lượt nằm trên các đường thẳng d1: x + y – 2 = 0; d2: 2x – y – 4 = 0; d3: x – y – 3 = 0. Gọi E, F là 2 điểm lần lượt nằm trên các cạnh AB và AC sao cho AB = 3AE; AC = 3CF. Đường thẳng EF cắt đường thẳng BC tại điểm P(-4; -8).
Tìm toạ độ các đỉnh của tam giác ABC.
Câu 8 (1 Điểm):
Trong mặt phẳng toạ độ Oxy, cho đường thẳng d: x – y = 0. Viết phương trình đường tròn (C) qua điểm M(2; 0) và tiếp xúc với d tại O(0;0).
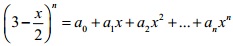
Câu 9 (1 Điểm): Cho khai triển: ![]()
Biết rằng: a0 + 2a1 + 4a2 + .... + 2nan = 1024. Tìm a6