Đề thi thử đại học năm 2014 trường THPT Lý Tự Trọng, Cần Thơ
Đề thi thử đại học khối A
SỞ GD-ĐT CẦN THƠ
|
ĐỀ THI THỬ ĐẠI HỌC NĂM 2014
|
I. PHẦN CHUNG CHO TẤT CẢ CÁC THÍ SINH (7,0 điểm)
Câu 1 (2,0 điểm). Cho hàm số y = 2x3 - 3x2 + 5 (1)
a) Khảo sát sự biến thiên và vẽ đồ thị (C) của hàm số (1).
b) Gọi A, B là các điểm cực trị của đồ thị hàm số (1). Tìm tọa độ điểm M thuộc đường thẳng (d): x + 3y + 7 = 0 sao cho
đạt giá trị nhỏ nhất (O là gốc tọa độ).
Câu 2 (1,0 điểm).
Giải phương trình: sin3x - cos3x + 3sin2x + 4sinx - cosx + 2 = 0.
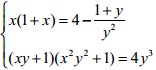
Câu 3 (1,0 điểm).
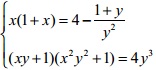
Giải hệ phương trình
với x, y thuộc R.
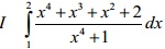
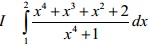
Câu 4 (1,0 điểm).
Tính tích phân ![]()
Câu 5 (1,0 điểm).
Cho hình chóp S.ABCD có đáy ABCD là hình vuông cạnh a, SA vuông góc với mặt phẳng (ABCD) và góc giữa SC với mặt phẳng (SAB) bằng 300. Gọi M là điểm di động trên cạnh CD và H là hình chiếu vuông góc của S trên đường thẳng BM. Xác định vị trí M trên CD sao cho thể tích khối chóp S.ABH đạt giá trị lớn nhất, tính giá trị lớn nhất đó và tính khoảng cách từ C đến mặt phẳng (SBM).
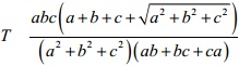
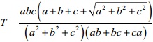
Câu 6 (1,0 điểm). Cho ba số thực dương a, b, c. Tìm giá trị lớn nhất của biểu thức:

II. PHẦN RIÊNG (3,0 điểm).
A. Theo chương trình Chuẩn
Câu 7.a (1,0 điểm).
Trong mặt phẳng với hệ tọa độ Oxy cho điểm A(-4; 7) và đường thẳng D: x - 2y + 4 = 0. Tìm điểm B trên Δ sao cho có đúng ba đường thẳng (di) với i thuộc {1;2; 3} thỏa mãn khoảng cách từ A đến các đường thẳng (di) đều bằng 4 và khoảng cách từ B đến các đường thẳng (di) đều bằng 6.
Câu 8.a (1,0 điểm).
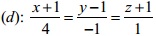
Trong không gian với hệ tọa độ Oxyz cho hình vuông ABCD với A(1; -1; -2) và các điểm B, D nằm trên đường thẳng
. Tìm tọa độ các điểm B, C, D.
Câu 9.a (1,0 điểm).
Có 40 tấm thẻ đánh số từ 1 đến 40. Chọn ngẫu nhiên ra 10 tấm. Tính xác suất để có 5 tấm thẻ mang số lẻ, năm tấm thẻ mang số chẵn trong đó chỉ có đúng một tấm thẻ mang số chia hết cho 6.
B. Theo chương trình Nâng cao
Câu 7.b (1,0 điểm).
Trong mặt phẳng với hệ tọa độ Oxy cho hình bình hành ABCD có A(4; 0), phương trình đường thẳng chứa trung tuyến kẻ từ B của tam giác ABC: 7x + 4y - 5 = 0 và phương trình đường trung trực cạnh BC: 2x + 8y - 5 = 0. Tìm tọa độ các điểm B, C, D.
Câu 8.b (1,0 điểm).
Trong không gian với hệ tọa độ Oxyz viết phương trình mặt phẳng (P) đi qua hai điểm A(0; -2; 1), B(10; 6; 2) và cách điểm C(-1; 3; -2) một khoảng bằng √29.
Câu 9.b (1,0 điểm).
Giải bất phương trình ![]()