Giao diện mới của VnDoc Pro: Dễ sử dụng hơn - chỉ tập trung vào lớp bạn quan tâm. Vui lòng chọn lớp mà bạn quan tâm: Lưu và trải nghiệm
Đóng
Điểm danh hàng ngày
  • Hôm nay +3
  • Ngày 2 +3
  • Ngày 3 +3
  • Ngày 4 +3
  • Ngày 5 +3
  • Ngày 6 +3
  • Ngày 7 +5
Bạn đã điểm danh Hôm nay và nhận 3 điểm!
Nhắn tin Zalo VNDOC để nhận tư vấn mua gói Thành viên hoặc tải tài liệu Hotline hỗ trợ: 0936 120 169

Đề thi thử học sinh giỏi tỉnh Long An lớp 9 môn Sinh học - Đề 1

Lớp: Lớp 9
Dạng tài liệu: Đề thi HSG
Loại File: Word
Phân loại: Tài liệu Tính phí

SỞ GIÁO DỤC VÀ ĐÀO TẠO
LONG AN

(Đề thi thử) - Đề 1

KỲ THI CHỌN HỌC SINH GIỎI LỚP 9 CẤP TỈNH
Môn thi: SINH HỌC

(Thời gian làm bài 150 phút không kể thời gian giao đề)

Câu 1 (4,0 điểm)

1.1. Phương pháp độc đáo của MenĐen là gì? Trình bày nội dung cơ bản phương pháp phân tích các thế hệ lai của MenĐen? (1,5 điểm)

1.2 (2,5 điểm) Ở hoa dạ lan, tính trạng hoa màu đỏ được quy định bởi gen (D) là trội hoàn toàn so với hoa màu trắng (d). Gen xác định các tính trạng nói trên tồn tại trên NST thường.

a. Khi cho hoa đỏ lai với hoa trắng thì kết quả F1 như thế nào?

b. Ở một trường hợp khác, nếu hoa đỏ là trội không hoàn toàn thì kiểu hình F1 sẽ như thế nào khi cho hai thứ hoa nói trên lai với nhau? Phép lai tuân theo qui luật di truyền nào? (không cần lập sơ đồ lai)

Câu 2. (4,0 điểm)

2.1 Thụ tinh là gì? (1,0 điểm)

2.2 (3,0 điểm) Một tế bào sinh dục sơ khai của thỏ cái 2n = 44 NST, sau một số đợt nguyên phân liên tiếp, môi trường tế bào đã cung cấp nguyên liệu tương đương với 11220 NST. Các tế bào con tạo ra trở thành tế bào sinh trứng, giảm phân cho các trứng. Hiệu suất thụ tinh của trứng 25%, của tinh trùng là 6,25%. Mỗi trứng thụ tinh với 1 tinh trùng tạo ra 1 hợp tử.

a/ Xác định số lượng hợp tử được hình thành?

b/ Tính số lượng tế bào sinh trứng và số lượng tế bào sinh tinh trùng cần thiết để hoàn tất quá trình thụ tinh?

Câu 3 (4,0 điểm)

3.1 (1,0 điểm) Giải thích vì sao trâu, bò đều ăn cỏ nhưng thịt trâu lại khác thịt bò?

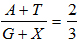
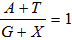
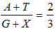
3.2 (3,0 điểm) Nếu 2 gen có cùng số liên kết hidrô là 1300, gen 1 có tỉ lệ , còn gen 2 có tỉ lệ . Cho biết gen nào có số lượng nuclêôtit nhiều hơn và nhiều hơn bao nhiêu?

Câu 4. (3,0 điểm)

Một gen dài 0,408 µm, trong đó số nuclêôtít của T = 1,5 số nuclêôtít không bổ sung với nó. Do đột biến mất đoạn nên phần gen còn lại gồm: 900 nuclêôtít loại A và T, 456 nuclêôtít loại G và X.

a/ Khi đoạn gen còn lại tự nhân đôi thì nhu cầu về từng loại nuclêôtít giảm đi bao nhiêu so với khi gen chưa bị đột biến?

b/ Đoạn mạch kép bị mất gồm bao nhiêu cặp nuclêôtít?

Câu 5. (3,0 điểm)

5.1 (2,0 điểm) Tại sao phụ nữ không nên sinh con ở độ tuổi ngoài 35? Tại sao cần phải đấu tranh chống ô nhiễm môi trường?

5.2 (1,0 điểm) Hãy nêu những ưu điểm và triển vọng của nhân giống vô tính trong ống nghiệm?

Câu 6. (2,0 điểm)

Thế nào là sinh vật hằng nhiệt? Trong hai nhóm sinh vật hằng nhiệt và sinh vật biến nhiệt, sinh vật thuộc nhóm nào có khả năng chịu đựng cao với sự thay đổi nhiệt độ của môi trường? Tại sao?

Chọn file muốn tải về:
Đóng Chỉ thành viên VnDoc PRO/PROPLUS tải được nội dung này!
Đóng
79.000 / tháng
Đặc quyền các gói Thành viên
PRO
Phổ biến nhất
PRO+
Tải tài liệu Cao cấp 1 Lớp
30 lượt tải tài liệu
Xem nội dung bài viết
Trải nghiệm Không quảng cáo
Làm bài trắc nghiệm không giới hạn
Mua cả năm Tiết kiệm tới 48%

Có thể bạn quan tâm

Xác thực tài khoản!

Theo Nghị định 147/2024/ND-CP, bạn cần xác thực tài khoản trước khi sử dụng tính năng này. Chúng tôi sẽ gửi mã xác thực qua SMS hoặc Zalo tới số điện thoại mà bạn nhập dưới đây:

Số điện thoại chưa đúng định dạng!
Số điện thoại này đã được xác thực!
Bạn có thể dùng Sđt này đăng nhập tại đây!
Lỗi gửi SMS, liên hệ Admin
Sắp xếp theo
🖼️

Thi học sinh giỏi lớp 9

Xem thêm
🖼️

Gợi ý cho bạn

Xem thêm