Giao diện mới của VnDoc Pro: Dễ sử dụng hơn - chỉ tập trung vào lớp bạn quan tâm. Vui lòng chọn lớp mà bạn quan tâm: Lưu và trải nghiệm
Đóng
Điểm danh hàng ngày
  • Hôm nay +3
  • Ngày 2 +3
  • Ngày 3 +3
  • Ngày 4 +3
  • Ngày 5 +3
  • Ngày 6 +3
  • Ngày 7 +5
Bạn đã điểm danh Hôm nay và nhận 3 điểm!
Nhắn tin Zalo VNDOC để nhận tư vấn mua gói Thành viên hoặc tải tài liệu Hotline hỗ trợ: 0936 120 169

Đề thi thử học sinh giỏi tỉnh Long An lớp 9 môn Toán - Đề 2

Lớp: Lớp 9
Dạng tài liệu: Đề thi HSG
Loại File: Word
Phân loại: Tài liệu Tính phí

SỞ GIÁO DỤC VÀ ĐÀO TẠO
LONG AN

(Đề thi thử) - Đề 2

KỲ THI CHỌN HỌC SINH GIỎI LỚP 9 CẤP TỈNH
Môn thi: TOÁN

(Thời gian làm bài 150 phút không kể thời gian giao đề)

Câu 1: (4 điểm)

a. Rút gọn biểu thức: Đề thi thử học sinh giỏi lớp 9 môn Toán

b. Cho biểu thức: Đề thi thử học sinh giỏi lớp 9 môn Toán

Rút gọn P và chứng minh rằng P < 3.

Câu 2: (5điểm)

a. Chứng minh rằng các đường thẳng y= 2x + 4 ; y = 3x + 5 và y = - 2x cùng đi qua 1 điểm. (2 điểm)

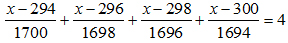
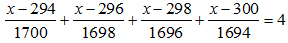
Giải phương trình (1 điểm): Đề thi thử học sinh giỏi lớp 9 môn Toán

Tìm cặp số (x,y) thoả mãn phương trình: x2 + y2 + 6x – 3y – 2xy + 7 = 0 sao cho y đạt giá trị lớn nhất. (2 điểm)

Câu 3: (5 điểm)

Từ một điểm S nằm ngoài đường tròn tâm O, kẻ tiếp tuyến SA và cát tuyến SBC tới đường tròn sao cho góc BAC bé hơn 900. Tia phân giác của góc BAC cắt dây BC tại D và cắt đường tròn tại điểm thứ hai E. Các tiếp tuyến của đường tròn tại C và E cắt nhau tại điểm N. Các đường thẳng AB và CE cắt nhau tại Q, AE và CN cắt nhau tại P.

a. Chứng minh SA = SD (2 điểm)

b. Chứng minh EN song song BC và hai tam giác QCB , PCE đồng dạng. (2 điểm)

c. Chứng minh hệ thức (1 điểm):

Câu 4: (3 điểm)

Cho hình thang ABCD (AB // CD) và AB = a; CD = b. Gọi giao điểm hai đường chéo của hình thang này là O. Đường thẳng đi qua O và song song với AB cắt AD và BC lần lượt tại E; F.

a. Chứng minh OE = OF (2 điểm)

b. Chứng minh EF2 ≤ ab(1 điểm)

Câu 5: (3 điểm)

a. Giải hệ phương trình: Đề thi thử học sinh giỏi lớp 9 môn Toán(2 điểm)

b. Cho tam giác có số đo một góc bằng trung bình cộng của số đo hai góc còn lại và độ dài các cạnh a, b, c của tam giác đó thoả mãn: Đề thi thử học sinh giỏi lớp 9 môn Toán

Chứng minh rằng tam giác này là tam giác đều. (1 điểm)

Chọn file muốn tải về:
Đóng Chỉ thành viên VnDoc PRO/PROPLUS tải được nội dung này!
Đóng
79.000 / tháng
Đặc quyền các gói Thành viên
PRO
Phổ biến nhất
PRO+
Tải tài liệu Cao cấp 1 Lớp
30 lượt tải tài liệu
Xem nội dung bài viết
Trải nghiệm Không quảng cáo
Làm bài trắc nghiệm không giới hạn
Mua cả năm Tiết kiệm tới 48%

Có thể bạn quan tâm

Xác thực tài khoản!

Theo Nghị định 147/2024/ND-CP, bạn cần xác thực tài khoản trước khi sử dụng tính năng này. Chúng tôi sẽ gửi mã xác thực qua SMS hoặc Zalo tới số điện thoại mà bạn nhập dưới đây:

Số điện thoại chưa đúng định dạng!
Số điện thoại này đã được xác thực!
Bạn có thể dùng Sđt này đăng nhập tại đây!
Lỗi gửi SMS, liên hệ Admin
Sắp xếp theo
🖼️

Thi học sinh giỏi lớp 9

Xem thêm
🖼️

Gợi ý cho bạn

Xem thêm