Đề thi thử THPT quốc gia môn Toán năm học 2017 - 2018 trường THPT chuyên Vĩnh Phúc (Lần 3)
VnDoc xin giới thiệu tới bạn đọc tham khảo bộ tài liệu Đề thi thử THPT quốc gia môn Toán năm học 2017 - 2018 trường THPT chuyên Vĩnh Phúc (Lần 3), nội dung tài liệu gồm 50 câu hỏi trắc nghiệm kèm theo đáp án và lời giải chi tiết. Mời thầy cô cùng các bạn học sinh tham khảo.
Đề thi thử THPT quốc gia môn Toán
Chi tiết Đề thi thử THPT quốc gia môn Toán
Câu 1: Trong không gian cho đường thẳng Δ và điểm O. Qua O có mấy đường thẳng vuông góc với Δ?
A. 1
B. 3
C. Vô số
D. 2
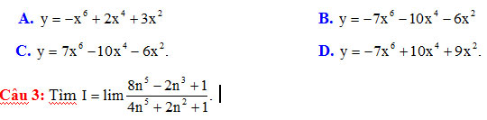
Câu 2: Tính đạo hàm của hàm số y = -7x2 + 2x5 + 3x3

A. I = 2
B. I = 8
C. I = 1
D. I = 4
Câu 4: Trong mặt phẳng tọa độ Oxy, cho véctơ v (-3;5). Tìm ảnh của điểm A(1;2) qua phép tịnh tiến theo vectơ v.
![]()
Câu 5: Tính thể tích khối tròn xoay được tạo thành khi quay hình phẳng (H) được giới hạn bởi các đường trục Ox và hai đường thẳng x = a; x = b xung quanh trục Ox.
![]()
---------------------------------------------
Trên đây VnDoc.com đã giới thiệu tới bạn đọc tài liệu: Đề thi thử THPT quốc gia môn Toán năm học 2017 - 2018 trường THPT chuyên Vĩnh Phúc (Lần 3). Để có kết quả cao hơn trong học tập, VnDoc xin giới thiệu tới các bạn học sinh tài liệu Lịch sử lớp 12, Giải bài tập Toán lớp 12, Ngữ văn lớp 10, Học tốt Ngữ Văn lớp 10, Thi thpt Quốc gia môn Toán, Thi thpt Quốc gia môn Văn, Thi thpt Quốc gia môn Lịch sử mà VnDoc tổng hợp và đăng tải.