Đề thi thử THPT Quốc gia năm 2017 môn Sinh học - Thành phố Hà Nội (Có đáp án)
Đề thi thử THPT Quốc gia năm 2017 môn Sinh học - Thành phố Hà Nội
Đáp án đã được cập nhật, có file word và pdf để bạn tải về
Nhằm giúp các thí sinh chuẩn bị tốt cho kì thi THPT Quốc gia 2017 ngày 20/3 Sở GD&ĐT Hà Nội tiến hành tổ chức thi thử kì thi THPT cho học sinh lớp 12 trên địa bàn toàn thành phố. Sáng ngày 21/3 các thí sinh bước vào thi môn Sinh học với thời gian làm bài là 50 phút, bắt đầu làm bài lúc 10h. Đề thi và đáp án đã được VnDoc cập nhật đầy đủ để gửi tới các bạn.
Đề thi thử THPT Quốc gia năm 2017 môn Hóa học - Thành phố Hà Nội
Đề thi thử THPT Quốc gia năm 2017 môn Toán - Thành phố Hà Nội (Có đáp án)
Đề thi thử THPT Quốc gia năm 2017 môn Ngữ văn - Thành phố Hà Nội (Có đáp án)
Mời làm: Đề thi thử THPT Quốc gia năm 2017 môn Sinh học - Thành phố Hà Nội Online
Ngày 20/3, 62.406 học sinh lớp 12 của Hà Nội tham gia khảo sát tại 141 điểm thi. Đây là đợt khảo sát nhằm giúp học sinh thủ đô làm quen kỳ thi THPT quốc gia 2017.
Sáng 20/3, thí sinh làm bài môn môn Ngữ văn, thời gian 120 phút, chiều thi Toán với hình thức trắc nghiệm trong 90 phút.
Ngày 21/3, các em làm bài thi tổ hợp Khoa học tự nhiên buổi sáng, chiều thi ngoại ngữ. Ngày 22/3, học sinh làm bài tổ hợp Khoa học xã hội buổi sáng.
| SỞ GIÁO DỤC & ĐÀO TẠO HÀ NỘI |
ĐỀ THI KHẢO SÁT LỚP 12 TRUNG HỌC PHỔ THÔNG Khoá ngày 20, 21, 23/3/2017 Bài kiểm tra: Khoa học tự nhiên; Môn: Sinh học Thời gian làm bài: 50 phút, không kể thời gian |
Câu 81: Một quần thể có cấu trúc di truyền 0,1AA + 0.6Aa + 0,3aa = 1. Tần số tương đối của alen A, a lần lượt là
A. 0,2; 0,8 B. 0,3; 0,7 C. 0,8; 0,2 D. 0,4; 0,6
Câu 82: Khi sống trong cùng sinh cảnh, để tránh cạnh tranh thì các loài gần nhau về nguồn gốc thường có xu hướng
A. Phân li ổ sinh thái B. Hỗ trợ nhau
C. Loại trừ nhau D. Di cư
Câu 83: Khi lai hai giống bí ngô thuần chủng quả dẹt với nhau được F1 đề có quả tròn. Cho F1 tự thụ phấn được F2 gồm 355 bí quả tròn, 238 bí quả dẹt, 38 bí quả dài. Hình dạng quả bí chịu sự chi phối của quy luật di truyền
A. Trội không hoàn toàn
B. Liên kết hoàn toàn
C. Phân li độc lập
D. Tương tác bổ sung
Câu 84: Một quần thể thực vật có tỷ lệ cây thân cao là 64%. Sau hai thế hệ tự thụ phấn, số cây thân thấp trong quần thể là 42%. Cho biết alen B quy định thân cao trội hoàn toàn so với alen b quy định thân thấp. Cấu trúc di truyền của quần thể ban đầu là
A. 0,64 BB : 0,32 Bb : 0,04 bb
B. 0,48 BB : 0,16 Bb : 0,36 bb
C. 0,16 BB : 0,48 Bb : 0,36 bb
D. 0,36 BB : 0,22 Bb : 0,42 bb
Câu 85: Liệu pháp gen là
A. Làm bất hoạt một gen nào đó trong hệ gen
B. Thay thế các gen đột biến gây bệnh trong cơ thể người bệnh bằng các gen lành
C. Phục hổi chức năng các gen đột biến gây bệnh
D. Loại bỏ ra khỏi cơ thể người các gen gây bệnh

A. 0.15 B. 0.3 C. 0.6 D. 0.2
Câu 87. Đột biến thay thế 1 cặp nucleotit ở vị trí số 9 tính từ mã mở đầu nhưng không làm xuất hiện mã kết thúc. Chuỗi polipeptit tương ứng do gen này tổng hợp sẽ
A. Thay đổi 1 axit amin ở vị trí thứ 3 trong chuỗi polipeptit.
B. Có thể thay đổi một axit amin ở vị trí thứ 2 trong chuỗi polipeptit
C. Mất đi một axit amin ở vị trí thứ 3 trong chuỗi polipeptit
D. Có thể thay đổi các axit amin từ vị trí thứ 2 về sau trong chuỗi polipeptit
Câu 88. Cá thể có kiểu gen: AB/ab giảm phân xảy ra hoán vị gen với tần số f = 20% thì giao tử AB được tạo ra chiếm tỷ lệ
A. 20% B. 100% C. 40% D. 75%
Câu 89. Cây pomato (cây lai giữa khoai tây và cà chua) được tạo bằng phương pháp:
A. Cấy truyền phôi
B. Nuôi cấy tế bào thực vật.
C. Nuôi cấy hạt phấn
D. Dung hợp tế bào trần.
Câu 90. Thuyết tiến hóa hiện đại đã phát triển quan niệm về chọn lọc tự nhiên của Đacuyn ở những điểm nào sau đây?
(1) Chọn lọc tự nhiên không chỉ tác động đến từng cá thể riêng lẻ mà mà tác động tới cả quần thể.
(2) Chọn lọc tự nhiên dựa trên cơ sở tính biến dị và di truyền của sinh vật.
(3) Chọn lọc tự nhiên không tác động tới từng gen mà tác động lên toàn vốn gen của quần thể.
(4) Chọn lọc tự nhiên là nhân tố định hướng cho quá trình tiến hóa.
A. 2, 3 B. 1, 3, 4 C. 1, 2, 3, 4 D. 1, 2, 4
Câu 91. Phả hệ dưới đây mô tả bệnh di truyền ở người.

Phân tích phả hệ trên, người ta có các nhận xét sau:
- Bệnh do gen lặn nằm ở vùng không tương đồng của NST X quy định.
- Bệnh do gen lặn nằm trên NST thường quy định
- Cặp vợ chồng 14 - 15 không nên sinh con xác suất sinh con bị bệnh lớn hơn 50%
- Nếu cặp vợ chồng 14 - 15 sinh con thì xác suất sinh con gái bị bệnh là 1/6
- Những người không biết chắc kiểu gen là 2 và 7. Trong số nhận xét trên có bao nhiêu nhận xét chưa chính xác?
A. 2 B. 4 C. 5 D. 3
Câu 92. Ở người, bệnh máu khó đông do alen lặn h nằm trên NST X quy định, alen H quy định máu đông bình thường. một người nam mắc bệnh máu khó đông lấy một phụ nữ bình thường nhưng có bố bị bệnh này, khả năng họ sinh ra đứa con khỏe mạnh là bao nhiêu?
A. 75% B. 50% C. 25% D. 100%
Câu 93. Theo Đacuyn, nhân tố chính quy định chiều hướng và tốc độ biến đổi của các giống vật nuôi cây trồng là:
A. Chọn lọc tự nhiên
B. Đấu tranh sinh tồn
C. Phân ly tính trạng
D. Chọn lọc nhân tạo
Câu 94. Ở đậu Hà lan, alen A quy định hạt vàng trội hoàn toàn so với alen a quy định hạt xanh. Phép lai nào sau đây cho tỷ lệ phân ly kiểu hình 3 vàng: 1 xanh?
A. AA x aa B. Aa x aa C. Aa x Aa D. AA x Aa
Câu 95. Câu nào dưới đây đúng khi nói về hoán vị gen?
A. Hoán vị gen làm giảm sự xuất hiện biến dị tổ hợp
B. Hoán vị gen có thể xảy ra khi các NST tương đồng trao đổi chéo
C. Nếu tất cả các tế bào xảy ra trao đổi chéo thì tần số hoán vị gen sẽ lớn hơn 50%
D. Tần số hoán vị gen tỷ lệ nghịch với khoảng cách giữa các gen trên NST.
Câu 96. Hiện tượng con lai có năng suất, phẩm chất, sức chống chịu khả năng sinh trưởng và phát triển vượt trội bố mẹ gọi là:
A. Tiến hóa
B. Thoái hóa giống
C. Siêu trội
D. Ưu thế lai
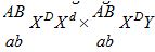
Câu 97. Với 2 cặp gen không alen (Aa, Bb) cùng năm trên 1 cặp NST tương đồng thì cách viết kiểu gen nào dưới đây không đúng?
![]()
Câu 98. Nghiên cứu sự thay đổi thành phần kiểu gen của quần thể qua 5 thế hệ liên tiếp thu được kết quả theo bảng sau:
|
Thế hệ |
Kiểu gen AA |
Kiểu gen Aa |
Kiểu gen aa |
|
F1 |
0.04 |
0.32 |
0.64 |
|
F2 |
0.04 |
0.32 |
0.64 |
|
F3 |
0.5 |
0.4 |
0.1 |
|
F4 |
0.6 |
0.2 |
0.2 |
|
F5 |
0.65 |
0.1 |
0.25 |
Từ kết quả trên, bạn Hà rút ra các nhận xét sau:
- Tần số alen trội tăng dần qua các thể hệ
- Chọn lọc tự nhiên tác động từ F3 đến F4 theo hướng loại bỏ kiểu hình trội
- ở thế hệ F3 có thể đã có hiện tượng kích thước quần thể giảm mạnh.
- Ở thế hệ F1và F2 quần thể ở trạng thái cân bằng.
- Hiện tượng tự phối đã xảy ra ở thế hệ F3. Số nhận xét đúng là:
A. 2 B. 3 C. 1 D. 4
Câu 99. Trong quần thể có kích thước nhỏ, nhân tố tiến hóa nào sau đây làm biến đổi nhanh tần số tương đối của các alen trong một gen nào đó?
A. Chọn lọc tự nhiên
B. Các yếu tố ngẫu nhiên
C. Giao phối không ngẫu nhiên
D. Đột biến
Câu 100. Phát biểu không đúng về các nhân tố tiến hóa theo thuyết tiến hóa tổng hợp là:
A. Đột biến và giao phối ngẫu nhiên tạo nguồn nguyên liệu cho quá trình tiến hóa.
B. Đột biến luôn làm phát sinh các biến dị có lợi từ đó cung cấp nguyên liệu cho chọn lọc.
C. Yếu tố ngẫu nhiên có thể loại bỏ alen có lợi ra khỏi quần thể.
D. Chọn lọc tự nhiên là nhân tố tiến hoá có hướng
Câu 101. Hình vẽ sau mô tả quá trính......(A) ....và dẫn đến hậu quả.....(B)...

Nội dung tương ứng với A và B là:
A. Trao đổi chéo không cân trong giảm phân, đảo đoạn NST.
B. Trao đổi chéo không cân trong giảm phân, mất đoạn và lặp đoạn NST.
C. Phân ly không đều của NST, đột biến NST
D. Trao đổi chéo trong giảm phân, đột biến NST.
Câu 102. Cho các quần thể có cấu trúc di truyền như sau: Quần thể 1: 0.5AA+0.5aa=1
Quần thể 2: 100% Aa
Quần thể 3: 0.49AA+0.42Aa+0.09 aa = 1
Quần thể 4: 0.36AA+0.48Aa+0.16 aa = 1
Quần thể 5: 0.64AA+0.32Aa+0.04 aa = 1
Trong các quần thể trên, số quần thể đang ở trạng thái cân bằng di truyền là
A. 4 B. 3 C. 2 D. 1
Câu 103 Đặc điểm vầ cấu trúc di truyền của một quần thể tự phối qua nhiều thế hệ là:
A. Cấu trúc di truyền ổn định
B. Phần lớn các gen ở trạng thái đồng hợp.
C. Tỷ lệ dị hợp ngày càng tăng
D. Các cá thể trong quần thể có kiểu gen đồng nhất.
Câu 104. Các bệnh mù màu,máu khó đông ở người di truyền theo quy luật nào?
A. Di truyền ngoài nhân
B. Tương tác gen
C. Theo dòng mẹ
D. Liên kết với giới tính
Câu 105. Cá rô phi Việt Nam có giới hạn sinh thái về nhiệt độ từ 5,60C đến 420C. nhận định nào sau đây không đúng?
A. 420C là giới hạn trên
B. 420C là giới hạn dưới
C. 420C là điểm gây chết
D. 5,60C là điểm gây chết
Câu 106. Thành tựu nào sau đây không được tạo ra từ ứng dụng công nghệ gen?
A. Lúa chuyển gen tổng hợp β caroten
B. Vi khuẩn E.coli sản xuất insulin của người
C. Cừu chuyển gen tổng hợp protein huyết thanh của người
D. Ngô DT6 có năng suất cao, hàm lượng protein cao.
Câu 107. Trong quá trình phiên mã, ARN polimerase trượt theo chiều nào dưới đây
A. 3'-5' của mạch bổ sung
B. 5'3' của mạch bổ sung
C. 5'-3' của mạch mã gốc
D. 3'-5' của mạch mã gốc.
Câu 108. Ở một loài thực vật, mỗi tính trạng màu sắc hoa, hình dạng quả do một cặp gen quy định. Cho cây hoa đỏ, quả tròn thuần chủng giao phấn với cây hoa vàng quả bầu dục thuần chủng thu được F1 gồm 100% cây hoa đỏ, quả bầu dục. cho F1 tự thụ phấn thu được F2 gồm 4 loại kiểu hình trong đó cây hoa đỏ, bầu dục chiếm 9%. Biết rằng quá trình phát sinh giao tử đực và cái đều xảy ra hoán vị gen với tần số như nhau. Trong các kết luận sau, có bao nhiêu kết luận không đúng?
- F2 có 9 loại kiểu gen
- F2 có 5 loại kiểu gen cùng quy định kiểu hình hoa đỏ, quả tròn
- Ở F2, số cá thể có kiểu gen giống bố mẹ chiếm tỷ lệ 50%
- F1 xảy ra hoán vị gen với tần số f = 20%
A. 3 B. 1 C. 2 D. 4
Câu 109. Một phụ nữ bình thường (1) lấy chồng (2) bị bệnh máu khó đông sinh con trai (3) bị máu khó đông. Người con trai này lớn lên lấy vợ bình thường (4) và sinh 1 bé trai (5) bị máu khó đông như bố. Biết rằng bệnh máu khó đông do gen lặn a nằm trên NST X quy định. Kiểu gen của 5 người nói trên là.

Câu 110. Một quần thể sinh vật ngẫu phối đang chịu tác động của chọn lọc tự nhiên có thành phần kiểu gen qua các thế hệ như sau:
P: 0.50AA+0.30Aa+0.20aa=1
F1: 0.45AA+0.25Aa+0.30aa=1
F2: 0.40AA+0.20Aa+0.40aa=1
F3: 0.30AA+0.15Aa+0.55aa=1
F4: 0.15AA+0.10Aa+0.75aa=1
Nhận xét nào sau đây đúng?
A. Các cá thể mang kiểu hình lặn đang bị chọn lọc tự nhiên loại bỏ dần.
B. Các cá thể mang kiểu hình trội đang bị chọn lọc tự nhiên loại bỏ dần
C. Chọn lọc tự nhiên đang loại bỏ các kiểu gen đồng hợp và giữ lại các kiểu gen dị hợp.
D. Chọn lọc tự nhiên đang loại bỏ các kiểu gen dị hợp và đồng hợp lặn.
Câu 111. Vai trò của các gen cấu trúc Z, Y, A trong Ôperon Lac ở vi khuẩn E.coli là:
A. Tổng hợp protein ức chế bám vào vùng khởi động để khởi đầu phiên mã.
B. Tạo ra các enzyme phân giải đường lactozơ.
C. Tổng hợp enzyme ARN polimerase bám vào vùng vận hành để ngăn cản quá trình phiên mã.
D. Tổng hợp các protein ức chế bám vào vùng vận hành để ngăn cản quá trình phiên mã.
Câu 112. Các bộ ba nào dưới đây quy định tín hiệu kết thúc quá trình dịch mã
A. UGU, UAA, UAG
B. UUG, UAA, UGA
C. UAG, UGA, UAA
D. UUG, UGA, UAG
Câu 113. Cơ thể mà mọi tế bào sinh dưỡng đều thừa 2 NST ở tất cả các cặp tương đồng được gọi là:
A. Thể ba kép B. Thể ba C. Tứ bội D. Thể bốn
Câu 114. Hãy sắp xếp trình tự đúng để làm tiêu bản tạm thời nhiễm sắc thể của tế bào châu chấu đực.
(1) Dùng kéo cắt bỏ cánh, chân của châu chấu đực.
(2) Tay trái cầm phần đầu, tay phải kéo phần bụng ra( tách khỏi ngực) sẽ có 1 số nội quan trong đó có tinh hoàn bung ra.
(3) Sùng kim mổ tách mỡ xung quanh tinh hoàn, gạt mỡ ra khỏi phiến kính.
(4) Đậy lá kính, dùng ngón ta ấn nhẹ lên mặt lá kính cho tế bào dàn đều và làm vỡ tế bào để NST bung ra.
(5) Đưa tinh hoàn lên phiến kính, nhỏ vào đó vài giọt nước cất
(6) Nhỏ vài giọt oocxêin axêtic lên tinh hoàn để nhuộm trong thời gian 15-20 phút.
(7) Đưa tiêu bản lên kính để quan sát: lúc đầu dùng bội giác nhỏ để xác định tế bào, sau đó dùng bội giác lớn hơn.
(8) Đếm số lượng và quan sát hình thái NST

Câu 115. Một đoạn mạch mã gốc của gen cấu trúc thuộc vùng mã hóa có 5 bộ ba: 5'...AAT ATG AXG GTA GXX...3'
Thứ tự các bộ ba: 1 2 3 4 5
Phân tử tARN mang bộ ba đối mã 3'GXA5' giải mã cho bộ ba thứ mấy trên đoạn gen trên?
A. Bộ ba thứ 2
B. Bộ ba thứ 3
C. Bộ ba thứ 5
D. Bộ ba thứ 4
Câu 116. Thực vật có hoa xuất hiện từ
A. Kỷ than đá
B. Kỷ Tam điệp
C. Kỷ đệ tam
D. Kỷ Phấn trắng
Câu 117. Ở ruồi giấm, alen A quy định thân xám trội hoàn toàn sơ với alen a quy định thân đen, alen B quy định cánh dài trội hoàn toàn so với alen b quy định cánh cụt. Hai gen này cùng nằm trên một cặp NST thường. Alen D quy định mắt đỏ trội hoàn toàn so với alen d quy định mắt trắng và nằm trên NST X, không có alen tương ứng trên Y.
Ở phép lai:
thu được F1 trong đó kiểu hình thân đen cánh cụt mắt đỏ chiếm 11.25%.
Theo lý thuyết, tỷ lệ ruồi đực F1 có kiểu hình thân đen cánh cụt mắt đỏ là:
A. 5% B. 2.5% C. 3.75% D. 7.5%
Câu 118. Ở phép lai ♂AaBb x♀AaBB, trong quá trình giảm phân của cơ thể đực, số tế bào có cặp NST mang cặp gen Aa không phân ly trong giảm phân I chiếm 16% mọi diễn biến còn lại của giảm phân diễn ra bình thường. Trong số 4 kết luận sau có bao nhiêu kết luận sai về phép lai trên?
- Trong số các hợp tử được tạo ra ở F1 aaBb là hợp tử không đột biến.
- Trong số các hợp tử được tạo ra ở F1 aaBb là hợp tử đột biến.
- Hợp tử aaBb chiếm tỷ lệ 30,2%
- Hợp tử aaBb chiếm tỷ lệ 10,5%
- Hợp tử aaBb chiếm tỷ lệ 21%
A. 3 B. 1 C. 2 D. 4
Câu 119. Phép lai AaBb (vàng, trơn) x aabb (xanh, nhăn) sẽ cho kết quả kiểu hình:
A. 9 vàng trơn:3 vàng nhăn:3 xanh trơn:1 xanh nhăn
B. 3 vàng trơn:3 vàng nhăn:1 xanh trơn:1 xanh nhăn
C. 3 vàng trơn:3 xanh nhăn:1 vàng trơn:1 xanh nhăn
D. 1 vàng trơn:1 vàng nhăn:1 xanh trơn:1 xanh nhăn
Câu 120. Phát biểu nào sau đây không đúng về quá trình hình thành loài bằng con đường địa lý
A. Hình thành loài mới bằng con đường địa lý xảy ra ở cả động vâth và thực vật
B. Trong những điều kiện địa lý khác nhau, chọn lọc tự nhiên đã tích lũy các đột biến và biến dị tổ hợp theo những hướng khác nhau.
C. Hình thành loài mới bằng con đường địa lý diễn ra rất chậm chạp trong thời gian lịch sử lâu dài.
D. Điều kiện địa lý là nguyên nhân trực tiếp gây ra những biến đổi tương ứng trên cơ thể sinh vật từ đó tạo ra loài mới.
Đáp án đề thi thử THPT Quốc gia năm 2017 môn Sinh học - Thành phố Hà Nội
|
81. D |
91. D |
101. B |
111. B |
|
82. A |
92. B |
102. B |
112. C |
|
83. D |
93. D |
103. B |
113. C |
|
84. B |
94. C |
104. D |
114. B |
|
85. C |
95. B |
105. B |
115. B |
|
86. C |
96. D |
106. D |
116. D |
|
87. A |
97. D |
107. D |
117. C |
|
88. C |
98. B |
108. C |
118. C |
|
89. D |
99. B |
109. C |
119. D |
|
90. D |
100. B |
110. B |
120. D |