Đề thi thử THPT Quốc gia năm 2017 môn Toán Sở GD&ĐT Bình Dương
Đề thi thử THPT Quốc gia năm 2017 môn Toán có đáp án
Loại File:
PDF
Phân loại:
Tài liệu Tính phí
Đề thi thử THPT Quốc gia 2017 môn Toán
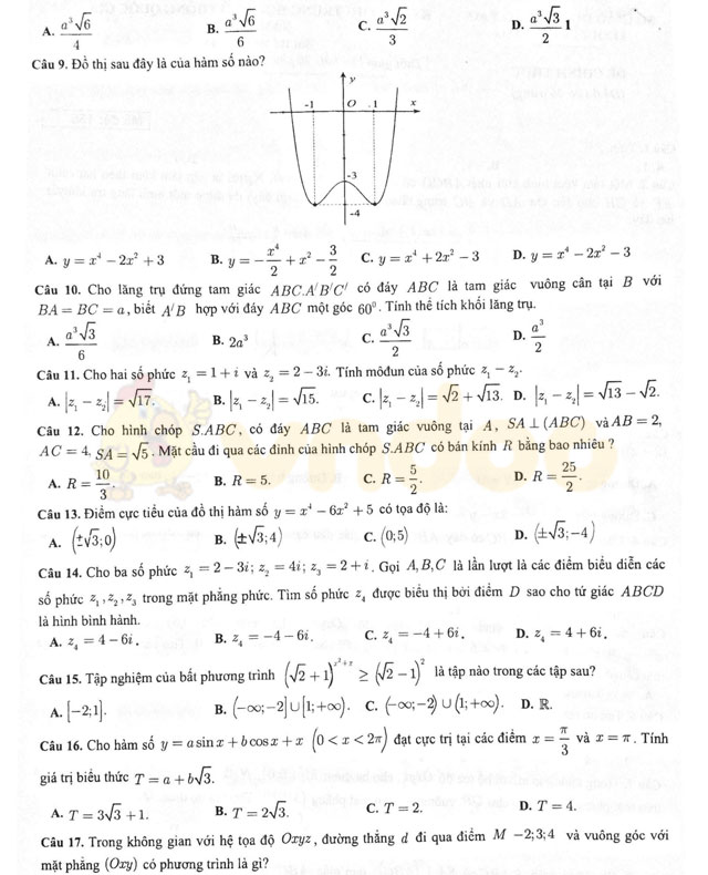
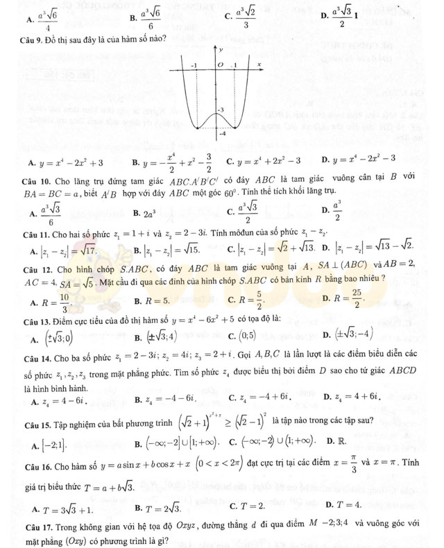
Đề thi thử THPT Quốc gia năm 2017 môn Toán Sở GD&ĐT Bình Dương. Qua việc tham khảo đề thi các bạn học sinh sẽ được làm quen với cấu trúc đề, rèn thêm khả năng làm bài tập Toán của mình, từ đó giúp ích cho bạn trong quá trình luyện thi THPT Quốc gia. Chúc các bạn thành công!
Đề thi thử THPT Quốc gia năm 2017 môn Toán trường THPT Hậu Lộc 2, Thanh Hóa (Lần 1)
Đề thi thử THPT Quốc gia năm 2017 môn Toán trường THPT chuyên Lam Sơn, Thanh Hóa (Lần 3)






Đáp án đề thi thử THPT Quốc gia năm 2017 môn Toán
|
Câu |
1 |
2 |
3 |
4 |
5 |
6 |
7 |
8 |
9 |
0 |
|
1 - 10 |
D |
B |
D |
B |
C |
D |
A |
C |
D |
C |
|
11- 20 |
A |
C |
D |
A |
D |
D |
C |
C |
B |
D |
|
21- 30 |
B |
C |
D |
A |
B |
A |
C |
C |
B |
B |
|
31- 40 |
C |
D |
B |
C |
A |
D |
B |
B |
B |
D |
|
41 - 50 |
B |
B |
B |
D |
A |
B |
A |
A |
B |
A |