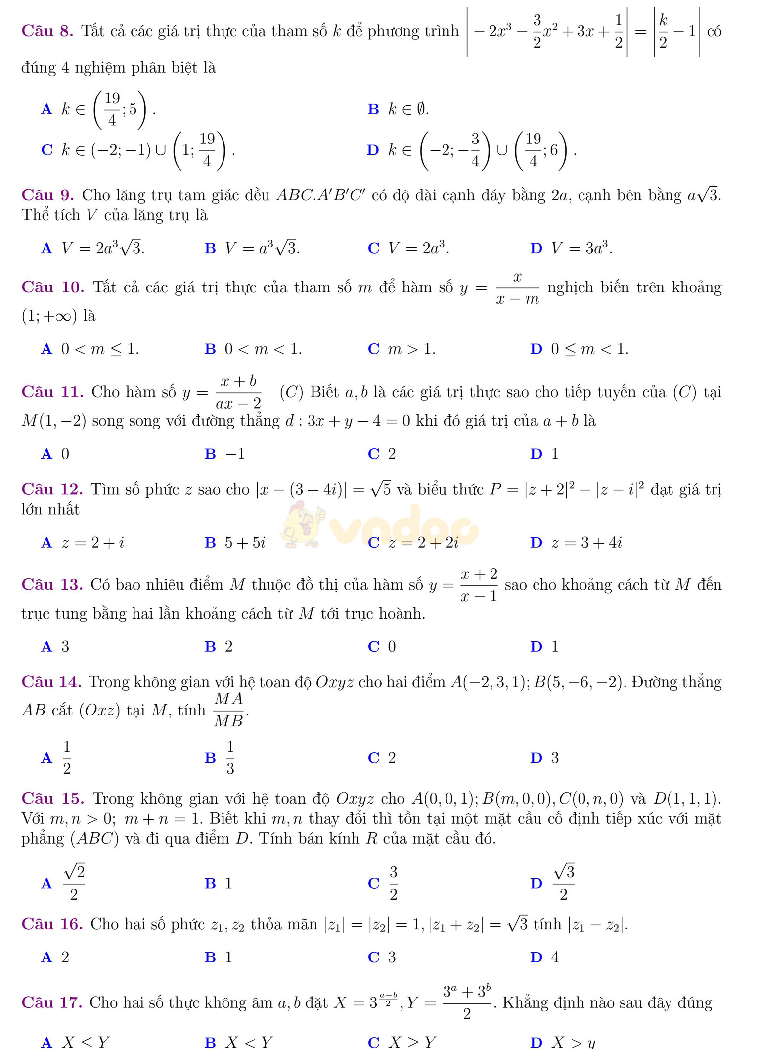
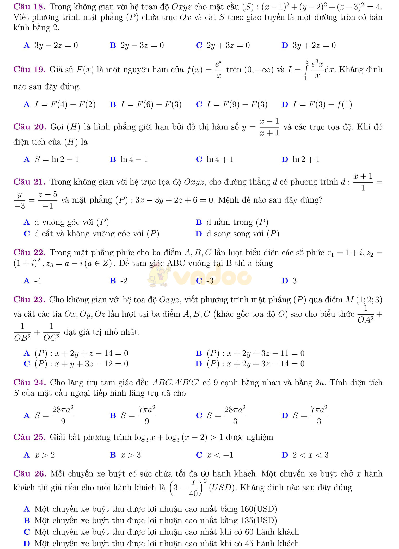
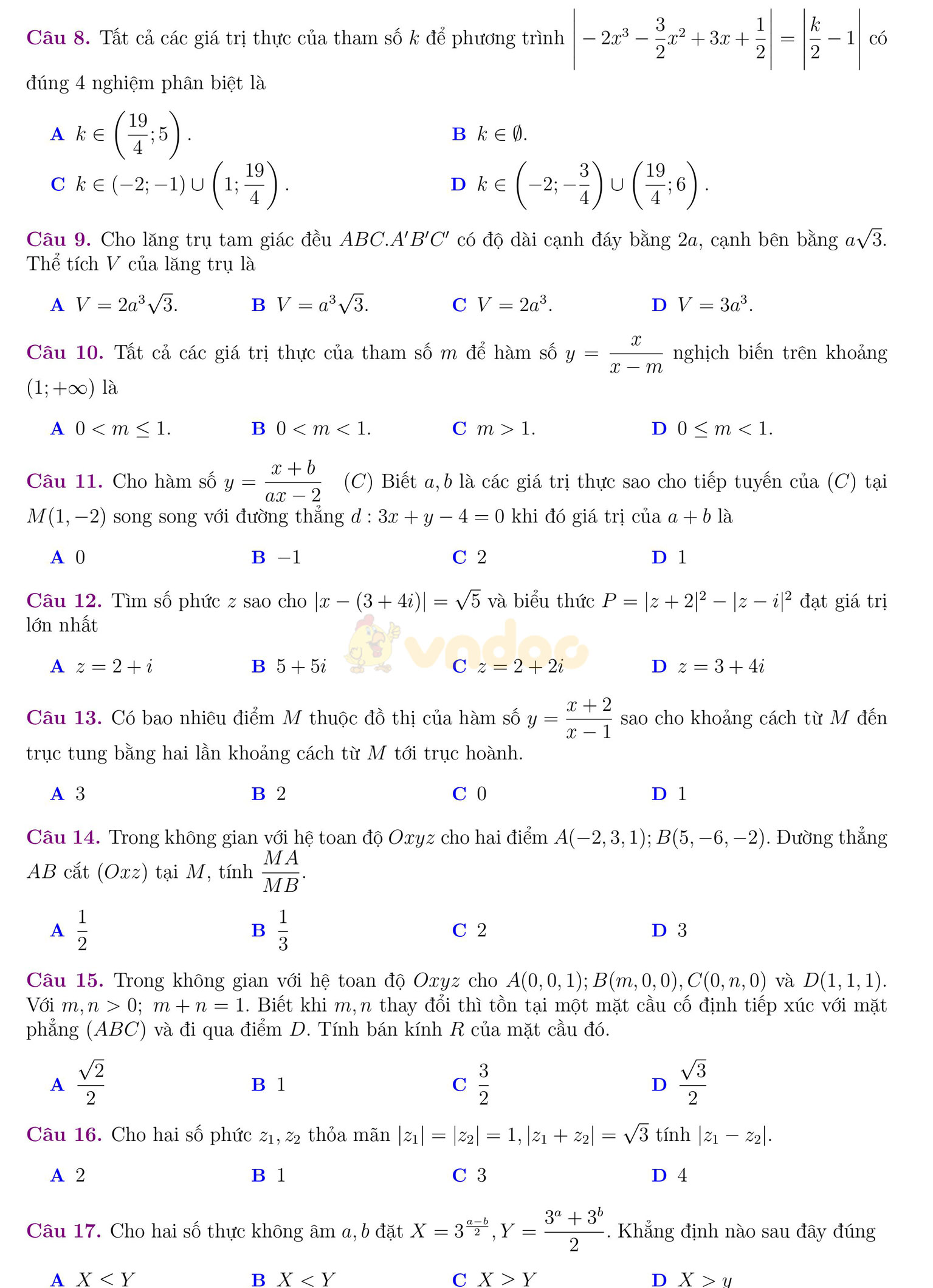
Đề thi thử THPT Quốc gia năm 2017 môn Toán trường THPT chuyên Lê Quý Đôn, Đà Nẵng (Lần 2)
Đề thi thử THPT Quốc gia năm 2017 môn Toán
Loại File:
PDF
Phân loại:
Tài liệu Tính phí
Đề thi thử THPT Quốc gia năm 2017 môn Toán
Với mong muốn giúp các bạn học sinh lớp 12 có thêm tài liệu tham khảo hay và chất lượng phục vụ quá trình ôn thi THPT Quốc gia năm 2017 môn Toán VnDoc đã sưu tầm và xin giới thiệu tới các bạn: Đề thi thử THPT Quốc gia năm 2017 môn Toán trường THPT chuyên Lê Quý Đôn, Đà Nẵng (Lần 2)
Đề thi thử THPT Quốc gia năm 2017 môn Toán trường THPT chuyên Lương Thế Vinh, Hà Nội (Lần 2)
Bộ đề thi thử THPT Quốc gia năm 2017 môn Toán trường THPT Vĩnh Lộc, Thanh Hóa
Đề thi thử THPT Quốc gia năm 2017 môn Toán Sở GD&ĐT Quảng Nam





