Đề thi thử THPT Quốc gia năm 2017 môn Toán trường THPT chuyên Lê Thánh Tông, Quảng Nam (Có hướng dẫn giải chi tiết)
Đề thi thử THPT Quốc gia năm 2017 môn Toán có đáp án
Loại File:
PDF
Phân loại:
Tài liệu Tính phí
Đề thi thử THPT Quốc gia năm 2017 môn Toán
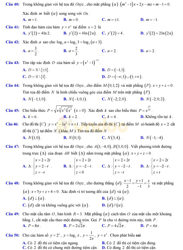
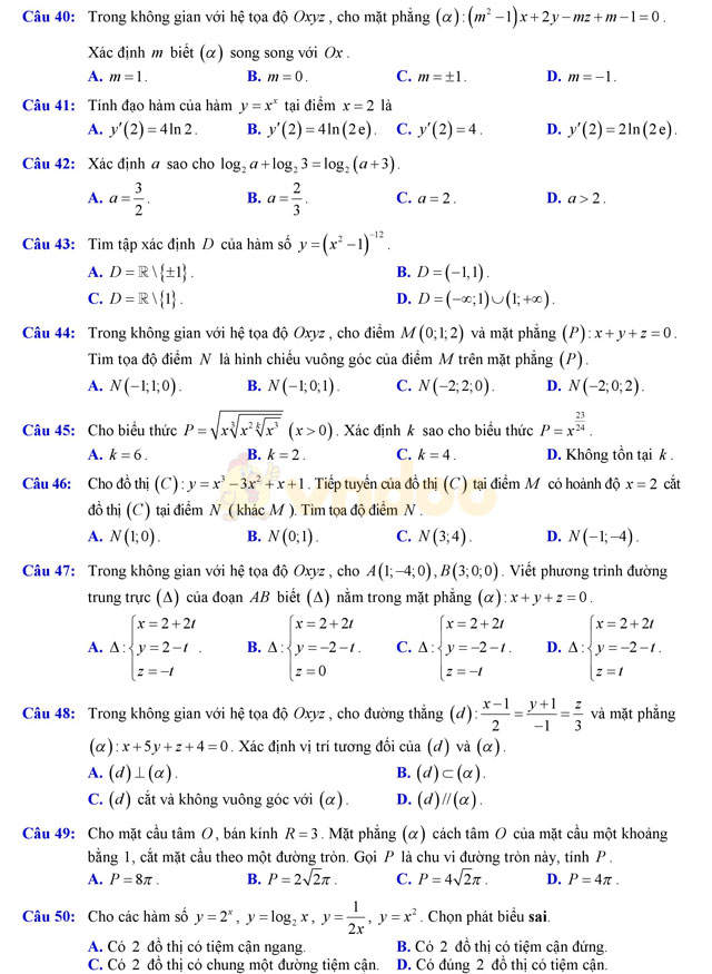
Đề thi thử THPT Quốc gia năm 2017 môn Toán trường THPT chuyên Lê Thánh Tông, Quảng Nam (Có hướng dẫn giải chi tiết). Đề thi gồm có 50 câu hỏi trắc nghiệm với thời gian làm bài là 90 phút. Phần đáp án và hướng dẫn giải chi tiết đã được VnDoc cập nhật đầy đủ và chính xác. Mời các bạn cùng tham khảo.
Đề thi thử THPT Quốc gia năm 2017 môn Toán trường THPT chuyên Hưng Yên (lần 3)
Đề thi thử THPT Quốc gia năm 2017 môn Toán trường THPT Tam Dương, Vĩnh Phúc





Đáp án đề thi thử THPT Quốc gia năm 2017 môn Toán



Tài liệu vẫn còn, mời các bạn tải về