Đề thi thử THPT Quốc gia năm 2017 môn Toán trường THPT chuyên Quốc học Huế (Lần 2)
Đề thi thử THPT Quốc gia năm 2017 môn Toán
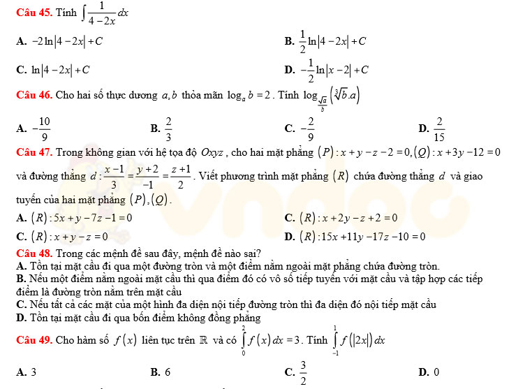
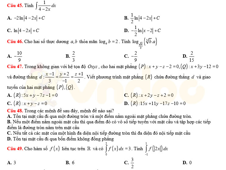
Đề thi thử THPT Quốc gia năm 2017 môn Toán trường THPT chuyên Quốc học Huế (Lần 2). Đề thi gồm có 50 câu hỏi trắc nghiệm với thời gian làm bài thi là 90 phút. Phần đáp án đã được ban biên tập thư viện đề thi VnDoc cập nhật đầy đủ và chính xác, chính vì vậy các bạn học sinh có thể tự đánh giá bài làm của chính mình.
Đề thi thử THPT Quốc gia năm 2017 môn Toán trường THPT Chu Văn An, Hà Nội (Lần 2)
Đề thi thử THPT Quốc gia năm 2017 môn Toán trường THPT Công Nghiệp, Hòa Bình (Lần 2)
Đề thi thử THPT Quốc gia năm 2017 môn Toán trường THPT chuyên Lê Hồng Phong, Nam Định (Lần 2)
Mời làm: Đề thi thử THPT Quốc gia năm 2017 môn Toán trường THPT chuyên Quốc học Huế (Lần 2) Online












Đáp án đề thi thử THPT Quốc gia năm 2017 môn Toán
