Đề thi thử THPT Quốc gia năm 2017 môn Toán trường THPT chuyên Sơn La (Lần 2)
Đề thi thử THPT Quốc gia năm 2017 môn Toán
Loại File:
PDF
Phân loại:
Tài liệu Tính phí
Đề thi thử THPT Quốc gia năm 2017 môn Toán
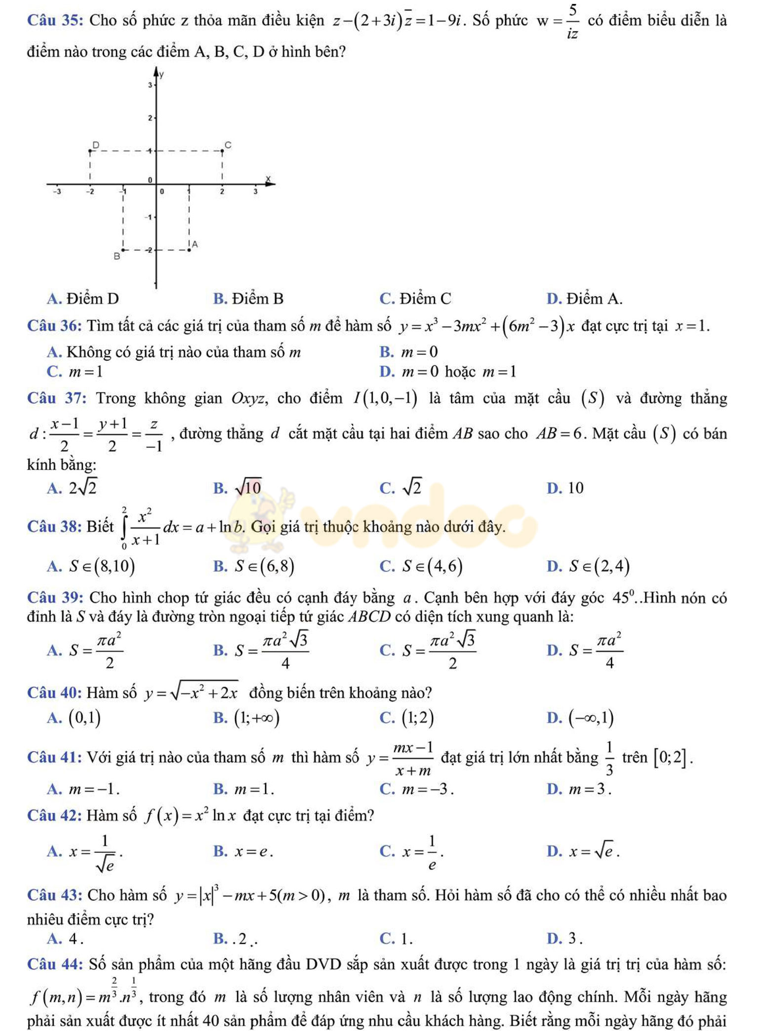
Đề thi thử THPT Quốc gia năm 2017 môn Toán trường THPT chuyên Sơn La (Lần 2). Đề thi giúp các bạn học sinh làm quen với các dạng đề, cấu trúc, và biết được khả năng của mình khi giải đề, từ đó giúp các bạn tự tin hơn trong kỳ thi THPT sắp tới. Chúc các bạn đạt được kết quả cao nhất!
Đề thi thử THPT Quốc gia năm 2017 môn Toán trường THPT Nguyễn Huệ, Thừa Thiên Huế
Đề thi thử THPT Quốc gia năm 2017 môn Toán trường THPT chuyên Lê Quý Đôn, Bình Định
Đề thi thử THPT Quốc gia năm 2017 môn Toán trường THPT chuyên Ngoại Ngữ, Hà Nội (Lần 1)




