Đề thi thử THPT Quốc gia năm 2017 môn Toán trường THPT Lạc Hồng, TP HCM
Đề thi thử THPT Quốc gia năm 2017 môn Toán
Đề thi thử THPT Quốc gia năm 2017 môn Toán trường THPT Lạc Hồng, TP HCM. Đề thi trình bày rõ ràng và khoa học, nội dung bám sát chương trình học theo yêu cầu và quy định của Bộ GD&ĐT. Tham khảo đề thi giúp các bạn nắm vững kiến thức, làm quen với cấu trúc đề thi và tích lũy kinh nghiệm giải đề. Chúc các bạn ôn thi thật tốt và đạt kết quả cao!
Đề thi thử THPT Quốc gia năm 2017 môn Toán trường THPT chuyên Trần Phú, Hải Phòng (Lần 2)
Đề thi thử THPT Quốc gia năm 2017 môn Toán trường THPT chuyên Nguyễn Đình Chiểu, Đồng Tháp
Đề thi thử THPT Quốc gia năm 2017 môn Toán Sở GD&ĐT Bắc Giang
|
SỞ GD&ĐT TP HCM TRƯỜNG THPT LẠC HỒNG |
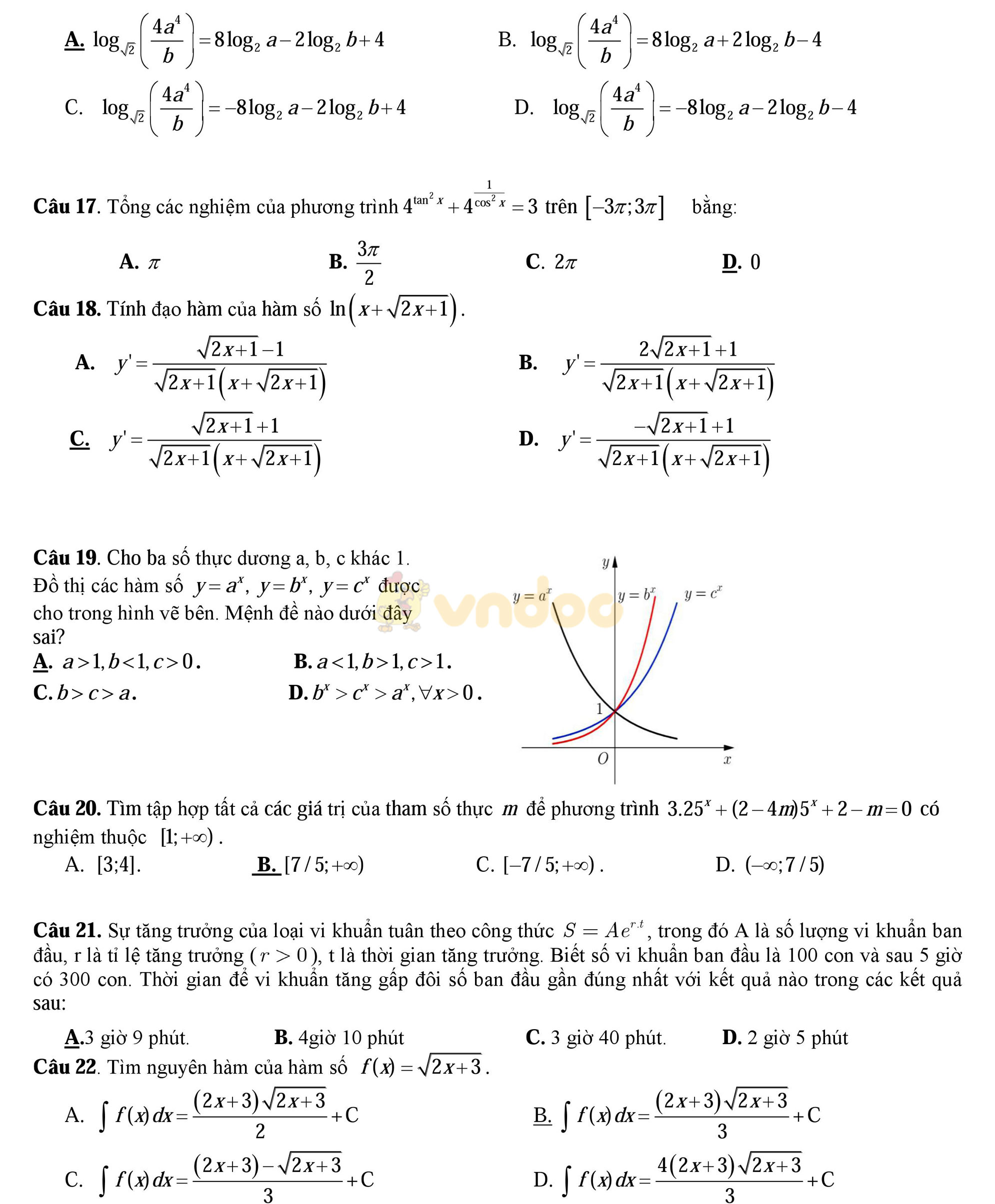
ĐỀ THI THỬ THPT QUỐC GIA NĂM 2017 MÔN: TOÁN Thời gian làm bài: 90 phút Đề thi gồm có 50 câu hỏi trắc nghiệm |






