Đề thi thử THPT Quốc gia năm 2017 môn Toán trường THPT Xuân Tô, An Giang (Có lời giải)
Đề thi thử THPT Quốc gia năm 2017 môn Toán có đáp án
Loại File:
PDF
Phân loại:
Tài liệu Tính phí
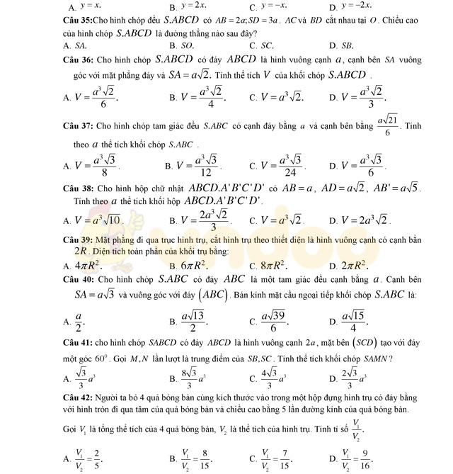
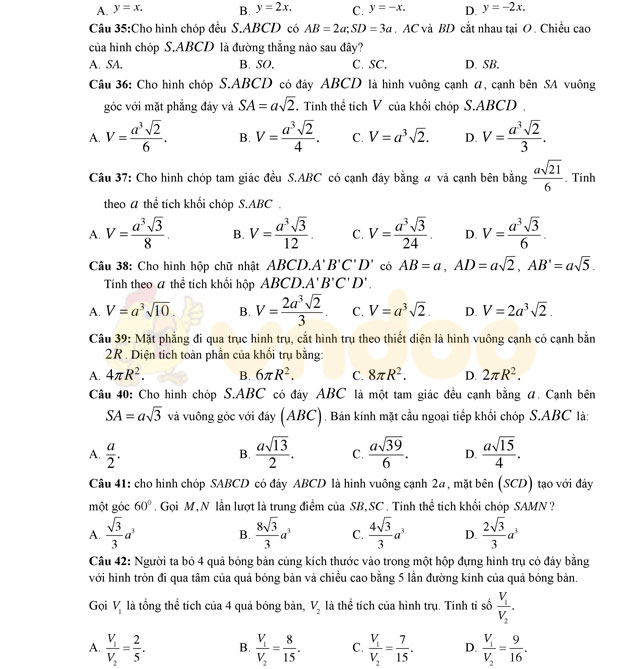
Đề thi thử THPT Quốc gia 2017 môn Toán
VnDoc mời bạn tham khảo: Đề thi thử THPT Quốc gia năm 2017 môn Toán trường THPT Xuân Tô, An Giang (Có lời giải). Thông qua việc giải đề thi để các bạn củng cố lại kiến thức môn học, tích lũy kiến thức và nâng cao kỹ năng giải đề, biết cách phân bổ thời gian hợp lý trong từng bài thi. Chúc các bạn hoàn thành tốt kì thi!
Đề thi thử THPT Quốc gia năm 2017 môn Toán trường THPT chuyên Trần Phú, Hải Phòng (Lần 3)
Đề thi thử THPT Quốc gia năm 2017 môn Toán trường THPT Tứ Kỳ, Hải Dương (Lần 3)






Đáp án đề thi thử THPT Quốc gia năm 2017 môn Toán


- Tài liệu vần còn, mời các bạn tải về