Đề thi thử THPT Quốc gia năm 2017 môn Vật lý Sở GD&ĐT Thừa Thiên Huế (Có hướng dẫn giải chi tiết)
Đề thi thử THPT Quốc gia 2017 môn Vật lý
Đề thi thử THPT Quốc gia năm 2017 môn Vật lý Sở GD&ĐT Thừa Thiên Huế (Có hướng dẫn giải chi tiết). Đề thi giúp học sinh làm quen với cấu trúc đề thi, củng cố lại kiến thức, nâng cao kỹ năng giải đề thi. Mời các bạn tham khảo để chuẩn bị tốt cho kì thi THPT Quốc gia sắp tới.
Đề thi thử THPT Quốc gia năm 2017 môn Vật lý Sở GD&ĐT Hải Phòng
| SỞ GIÁO DỤC VÀ ĐÀO TẠO THỪA THIÊN HUẾ | KIỂM TRA TRẮC NGHIỆM THPT Môn: VẬT LÍ 12 Thời gian làm bài: 60 phút Số câu trắc nghiệm: 40 |
Câu 1. Chọn câu sai.
Trong hiện tượng phản xạ ánh sáng, tia phản xạ và tia tới ...
A. đối xứng với nhau qua pháp tuyến của mặt phản xạ tại điểm tới.
B. ở trong cùng một mặt phẳng.
C. hợp với mặt phản xạ những góc bằng nhau.
D. đối xứng với nhau qua mặt phản xạ.
[Chọn D].
Câu 2. Một tia sáng đến gương phẳng nằm ngang với góc tới i = 600. Cố định tia tới, để có tia phản xạ nằm ngang, phải quay gương quanh trục vuông góc với mặt phẳng tới một góc nhỏ nhất bằng:
A. 150
B. 300
C. 450
D. 600
[Chọn A]
Giải:
- Lúc đầu: tia phản xạ hợp với phương ngang một góc 300
- Khi tia phản xạ nằm ngang, tức là tia phản xạ quay một góc 300 → gương quay một góc 150.
Câu 3. Chọn câu đúng.
Với gương cầu lõm, vật và ảnh luôn cùng chiều với nhau khi vật ...
A. ở trước gương.
B. ở trong khoảng từ đỉnh đến tiêu điểm chính của gương.
C. là vật thật ở ngoài tiêu cự.
D. ở trước gương một khoảng bằng hai lần tiêu cự.
[Chọn B].
Câu 4. Chọn câu sai.
A. Vật thật qua gương cầu lồi sẽ luôn luôn cho ảnh thật.
B. Vật thật ở ngoài tiêu cự của gương cầu lõm luôn cho ảnh thật.
C. Vật thật qua gương cầu lõm cho ảnh thật lớn hơn vật khi f < d < 2f.
D. Qua gương cầu lõm, ảnh thật và vật thật nằm trên cùng một mặt phẳng vuông góc với trục chính khi d = 2f.
[Chọn A]
Câu 5. Chọn phát biểu sai khi nói về đường đi của tia sáng qua gương cầu lõm.
A. Tia tới qua tâm của gương cho tia phản xạ trùng với tia tới.
B. Tia tới đỉnh gương cho tia phản xạ đối xứng với tia tới qua trục chính.
C. Tia tới song song với trục phụ cho tia ló đi qua tiêu điểm phụ nằm trên trục phụ đó.
D. Tia tới song song trục chính cho tia phản xạ qua tâm gương.
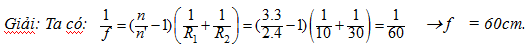
[Chọn D]
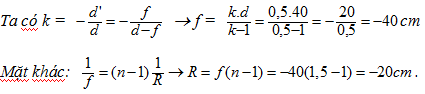
Câu 6. Một gương cầu lõm tiêu cự 20cm. Vật AB đặt trước gương cho ảnh cùng chiều và cách vật 75cm. Khoảng cách từ vật đến gương là:
A. 40cm.
B. 15cm.
C. 30cm.
D. 45cm.
[Chọn B]
Giải: Vật thật, qua gương lõm cho ảnh cùng chiều → ảnh ảo, lớn hơn vật: d' < 0 và |d'| > d
Do đó: d' – d = –75 (1)
Mặt khác:
(2)
Từ (1) và (2) ta suy ra: d = 15cm.
Câu 7. Một gương cầu lõm có bán kính 40 cm. Một vật sáng đặt vuông góc với trục chính của gương và cách gương 30 cm. Ảnh của vật cho bởi gương là ...
A. ảnh thật, cách gương 60 cm.
B. ảnh thật, cách gương 12 cm.
C. ảnh ảo, cách gương 6 cm.
D. ảnh ảo, cách gương 12 cm.
[Chọn A]
Giải:

Câu 8. Chọn câu sai.
Một tia sáng đi từ môi trường có chiết suất n1 sang môi trường có chiết suất n2 (n2 > n1) với góc tới là i và góc khúc xạ là r.
A. Ta có đẳng thức: n1sini = n2sinr
B. Tia khúc xạ gần pháp tuyến hơn tia tới.
C. Với các giá trị của i (0 < i < 900) thì luôn có tia khúc xạ.
D. Tia tới gần pháp tuyến hơn tia khúc xạ.
[Chọn D]
Câu 9. Chọn câu sai.
A. Chiết suất tuyệt đối của mọi môi trường trong suốt khác môi trường chân không đều lớn hơn 1.
B. Chiết suất tuyệt đối của môi trường chân không được qui ước là 1.
C. Chiết suất tuyệt đối của một môi trường trong suốt cho biết vận tốc của ánh sáng trong môi trường đó nhỏ hơn trong chân không bao nhiêu lần.
D. Chiết suất tuyệt đối của các môi trường trong suốt tỷ lệ với vận tốc truyền của ánh sáng trong các môi trường đó.
[Chọn D]
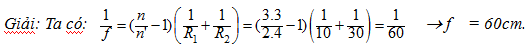
Câu 10. Chiếu một tia sáng từ không khí vào một môi trường có chiết suất n =
thì tia khúc xạ và tia phản xạ vuông góc nhau. Giá trị của góc tới là:

A. 600
B. 300
C. 450
D. 350
[Chọn A]
Giải: Vì tia phản xạ và tia khúc xạ vuông góc với nhau nên:
i' + r = 900 hay i + r = 900 → cosi = sinr (1)
Mặt khác, theo định luật khúc xạ: sini =
sinr (2)
Từ (1) và (2) suy ra: tani =
→ i = 600
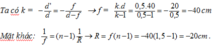
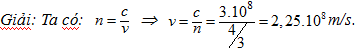
Câu 11. Cho vận tốc của ánh sáng trong chân không là 3.108 m/s. Vận tốc của ánh sáng trong nước có chiết suất là:
A. 2,5.108 m/s.
B. 2,25.108 m/s.
C. 1,33.108 m/s.
D. 0,25.108 m/s.
[Chọn B]

Câu 12. Cho một tia sáng đi từ không khí lần lượt vào ba môi trường trong suốt (1), (2) và (3). Với cùng một góc tới i, góc khúc xạ tương ứng lần lượt là r1, r2 và r3; biết r1 < r2 < r3. Hiện tượng phản xạ toàn phần không bao giờ xảy ra khi ánh sáng truyền từ ...
A. môi trường (1) tới môi trường (2).
B. môi trường (1) tới môi trường (3).
C. môi trường (2) tới môi trường (3).
D. môi trường (2) tới môi trường (1).
[Chọn D]
Giải:
Với cùng góc tới i, ta có: sini = n1sinr1 = n2sinr2 = n3sinr3 (*)
Vì r1 < r2 < r3 sinr1 < sinr2 < sinr3 (**)
Kết hợp (*) và (**), ta suy ra: n1 > n2 > n3.
Hiện tượng phản xạ toàn phần không bao giờ xảy ra nếu ánh sáng truyền từ môi trường chiết quang kém sang môi trường chiết quang hơn, tức là từ môi trường (2) tới (1).
Câu 13. Thả một nút chai rất mỏng phẳng hình tròn, bán kính 11cm nổi trên mặt một chậu nước (chiết suất n = 4/3). Dưới mặt nước, trên đường thẳng đi qua tâm và vuông góc với mặt phẳng hình tròn đó, đặt một ngọn đèn nhỏ. Để không có tia sáng nào từ ngọn đèn khúc xạ ra không khí thì khoảng cách tối đa từ ngọn đèn đến nút chai là:

A. 9,7 cm.
B. 7,28 cm.
C. 1,8 cm.
D. 3,23 cm.
[Chọn A]
Giải:
Mắt đặt trên mặt thoáng sẽ không thấy được các tia sáng phát ra từ ngọn đèn khi ánh sáng từ ngọn đèn S đến mặt thoáng tại I (đường rìa nút chai) xảy ra phản xạ toàn phần, khi đó i ≥ igh.

Câu 14. Một lăng kính có chiết suất n, góc chiết quang A nhỏ. Chiếu một tia sáng đơn sắc tới vuông góc với mặt bên của lăng kính. Góc lệch của tia ló so với tia tới là:
A. D = nA.
B. D = (n - 1)A.
C. D = (2n - 1)A.
D. D = (n - 1/2)A.
[Chọn B]
Giải:
Khi chiếu tia sáng vuông góc với mặt bên thứ nhất: i1 = 0 → r1 = 0 và r2 = A
Theo định luật khúc xạ: n.sinr2 = sini2, vì góc nhỏ nên n.r2 ≈ i2 ↔ n.A = i2
Góc lệch của tia ló so với tia tới: D = i1 + i2 – A = (n – 1)A.
Câu 15. Chọn câu sai.
Một lăng kính có góc chiết quang A nhỏ. Chiếu một tia sáng tới lăng kính với góc tới nhỏ. Góc lệch của tia sáng qua lăng kính là D. Chiết suất của lăng kính là:

[Chọn A]
Câu 16. Một lăng kính bằng thuỷ tinh chiết suất n =
, tiết diện thẳng là một tam giác đều ABC. Chiếu một tia sáng nằm trong tiết diện thẳng tới mặt bên AB sao cho tia ló ở mặt bên AC có góc ló là 450. Góc lệch giữa tia ló và tia tới là:
A. 300.
B. 380.
C. 450.
D. 600
[Chọn A]
Giải:
Theo định luật khúc xạ: n.sinr2 = sini2 ↔
sinr2 = sin450 =
/2 → r2 = 300
Mà r1 + r2 = A r1 = A – r2 = 30 = r2 i1= i2 = 450,
Góc lệch là : D = i1 + i2 – A = 300.
Câu 17. Một lăng kính thuỷ tinh có chiết suất n =
. Một tia sáng qua lăng kính có góc lệch cực tiểu bằng góc chiết quang A. Góc chiết quang A là:
A. 600
B. 41,50
C. 300
D. 450
[Chọn A]
Giải:
Ta có: Dmin = 2i – A = A i = A
Mặt khác r1 = r2 = A/2, do đó: n.sinr2 = sini ↔ n.sinA/2 = sinA →
sinA/2 = 2sinA/2cosA/2
Vậy A = 600.
Câu 18. Một lăng kính có chiết suất n, góc chiết quang A. Khi chiếu một tia tới nằm trong tiết diện thẳng của lăng kính vào mặt bên với góc tới i = 400 thì góc lệch là D = Dmin = 200. Chiết suất n của chất làm lăng kính là:
A. 1,33
B. 1,29
C. ![]()
D. ![]()
[Chọn B]
Giải:
Ta có: Dmin = 2i – A → A= 2i – Dmin = 600
và r1 = r2 = A/2 = 300. Theo định luật khúc xạ: sini = n.sinr1 → n = sini/sinr1 = sing400/sin300 = 1,29.
Câu 19. Chọn câu sai.
A. Một chùm sáng song song tới thấu kính hội tụ, chùm tia ló hội tụ tại tiêu điểm ảnh.
B. Vật thật qua thấu kính cho ảnh thật thì thấu kính đó là thấu kính hội tụ.
C. Một tia sáng bất kỳ tới thấu kính hội tụ, tia ló sẽ luôn luôn cắt trục chính.
D. Vật thật nằm trong khoảng tiêu cự (trong OF) của thấu kính hội tụ cho ảnh ảo lớn hơn vật, cùng chiều với vật.
[Chọn C]
Câu 20. Chọn câu sai.
Với thấu kính hội tụ, vật thật ...
A. nằm trong khoảng f < d < 2f cho ảnh thật nhỏ hơn vật.
B. nằm trong khoảng 2f < d < cho ảnh thật nhỏ hơn vật.
C. nằm trong khoảng 0 < d < f cho ảnh ảo lớn hơn vật.
D. cách thấu kính một khoảng d = 2f cho ảnh thật cao bằng vật.
[Chọn A]
Câu 21. Chọn câu đúng.
Ảnh của một vật thật qua thấu kính phân kì không bao giờ ...
A. là ảnh thật.
B. là ảnh ảo.
C. cùng chiều với vật.
D. nhỏ hơn vật.
[Chọn A]
Câu 22. Chọn câu sai khi nói về đặc điểm của thấu kính.
A. Mặt phẳng chứa các tiêu điểm chính của thấu kính gọi là tiêu diện của thấu kính.
B. Một thấu kính có vô số các trục phụ.
C. Một thấu kính có vô số các tiêu điểm phụ.
D. Ứng với mỗi trục phụ chỉ có hai tiêu điểm phụ.
[Chọn A]
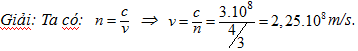
Câu 23. Một thấu kính phẳng – lõm làm bằng thuỷ tinh có chiết suất n = 1,5. Một vật thật cách thấu kính 40cm cho ảnh ảo nhỏ hơn vật 2 lần. Bán kính của mặt cầu lõm là:
A. – 20 cm.
B. – 10 cm.
C. – 40 cm.
D. – 60 cm.
[Chọn A]
Giải:

Câu 24. Một thấu kính được làm bằng thủy tinh có chiết suất . Thấu kính có hai mặt lồi, bán kính lần lượt là 10cm và 30cm. Tiêu cự của thấu kính đó khi đặt trong nước có chiết suất n' = 4/3 là:
A. 60 cm.
B. 3,5 cm.
C. 4 cm.
D. 120 cm.
[Chọn A]
![]()
Câu 25. Một vật sáng đặt vuông góc với trục chính của một thấu kính cho ảnh trên màn cao gấp 3 lần vật và cách vật 160 cm. Tiêu cự của thấu kính là:
A. 40 cm.
B. 30 cm.
C. – 60 cm.
D. – 20 cm.
[Chọn B]
Giải:
Ta có: k = -d'/d = –3 → d' = 3d (c)
Mặt khác: d + d' = 160 (d)
Từ (c) và (d) ta suy ra d = 40cm và d' = 120cm; Từ đó tính được f = (d.d')/(d + d') = 30cm.
Câu 26. Chọn câu đúng.
Khi sử dụng máy ảnh, để cho ảnh của vật cần chụp hiện rõ nét trên phim, người ta ...
A. giữ phim cố định, thay đổi độ tụ của vật kính.
B. giữ phim cố định, thay đổi vị trí của vật kính.
C. giữ vật kính đứng yên, thay đổi vị trí của phim.
D. giữ vật kính và phim cố định, thay đổi độ tụ của vật kính.
[Chọn B]
Câu 27. Một máy ảnh có vật kính tiêu cự 12cm có thể chụp được ảnh của các vật từ vô cực đến vị trí cách vật kính 1m. Vật kính phải di chuyển một đoạn:
A. 1,05cm.
B. 10,1cm.
C. 1,63cm.
D. 1,15cm.
[Chọn C]
Giải:
Khi vật ở vô cực: d → ∞ → d' = f = 12cm

Câu 28. Chọn câu đúng.
Đối với mắt không có tật, khi quan sát vật đặt tại điểm cực viễn thì ...
A. khoảng cách từ quang tâm của thuỷ tinh thể tới võng mạc của mắt là lớn nhất.
B. thuỷ tinh thể của mắt có độ tụ lớn nhất.
C. thuỷ tinh thể của mắt có độ tụ nhỏ nhất.
D. mắt nhìn vật với góc trông cực đại.
[Chọn C]
Câu 29. Chọn câu đúng.
Kính sửa tật cận thị của mắt là ...
A. thấu kính phân kì để nhìn rõ vật ở xa vô cực mà không điều tiết.
B. thấu kính hội tụ để nhìn rõ vật ở xa vô cực mà không điều tiết.
C. thấu kính phân kì để nhìn rõ các vật ở rất gần mắt.
D. thấu kính hội tụ để nhìn rõ ảnh thật của các vật ở rất gần.
[Chọn A]
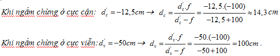
Câu 30. Một người cận thị có khoảng nhìn rõ từ 12,5cm đến 50cm. Khi đeo kính sát mắt có tụ số –1điôp thì giới hạn nhìn rõ của mắt người này:
A. từ 13,3cm đến 75cm.
B. từ 15cm đến 125cm.
C. từ 14,3cm đến 100cm.
D. từ 17,5cm đến 2m.
[Chọn C]
Giải: Ta có f = 1/D = - 1m = - 100cm

Câu 31. Một người cận thị có điểm cực viễn cách mắt 40cm. Để nhìn rõ vật ở vô cực không phải điều tiết, người này đeo sát mắt một thấu kính có độ tụ là:
A. + 0,4điôp.
B. + 2,5điôp.
C. – 0,4điôp.
D. – 2,5điôp.
[Chọn D]
Giải: Kính sửa tật cận thị có tiêu cự: f = - OCV = - 40cm = - 0,4m.
Độ tụ của kính là: D = 1/f = 20 điôp.
Câu 32. Chọn câu đúng.
Độ bội giác của kính lúp không phụ thuộc vào cách ngắm chừng khi mắt ...
A. đặt sát kính.
B. ngắm chừng ở cực cận.
C. ngắm chừng với góc trông ảnh lớn nhất.
D. đặt ở tiêu điểm ảnh của kính lúp.
[Chọn D]
Câu 33. Chọn câu sai.
Độ bội giác của kính lúp ...

[Chọn D]
Câu 34. Một kính lúp có độ tụ +12,5điôp, một người mắt không có tật (Đ = 25cm) nhìn một vật nhỏ qua kính lúp. Độ bội giác của kính khi người đó ngắm chừng ở trạng thái không điều tiết là:
A. 2.
B. 50.
C. 3,125.
D. 2,5.
[Chọn C]
Giải: Ta có f = 1/D = 0,08m = 8cm; G∞ = D/f = 25/8 = 3,125.
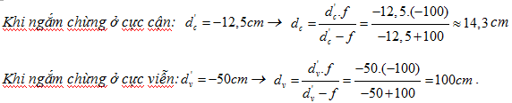
Câu 35. Một kính lúp trên vành ghi X6,25. Một người cận thị có điểm cực cận cách mắt 12cm quan sát ảnh của một vật nhỏ qua kính trong trạng thái mắt điều tiết tối đa và mắt đặt sát sau kính. Độ bội giác của kính là:
A. 3.
B. 4.
C. 4,5.
D. 6,25.
[Chọn B]

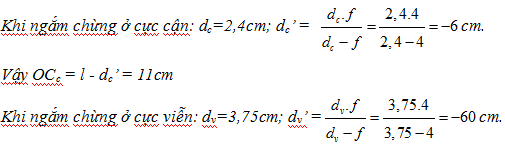
Câu 36. Một kính lúp có tiêu cự 4cm. Một người cận thị quan sát vật nhỏ qua kính lúp (mắt đặt cách kính 5cm) có phạm vi ngắm chừng từ 2,4cm đến 3,75cm. Mắt người quan sát có giới hạn nhìn rõ trong khoảng:
A. 11cm đến 60cm.
B. 11cm đến 65cm.
C. 12,5cm đến 50cm.
D. 12,5cm đến 65cm.
[Chọn B]
Giải:

Câu 37. Chọn câu đúng.
Kính thiên văn là ...
A. hệ thấu kính có độ tụ âm để quan sát ảnh ảo của các vật ở rất xa.
B. một thấu kính hội tụ để nhìn vật ở rất xa.
C. hệ thống gồm một thấu kính hội tụ và một thấu kính phân kì để quan sát các vật ở rất xa.
D. hệ thống gồm hai thấu kính hội tụ đặt đồng trục có tiêu cự khác nhau để quan sát các vật ở rất xa.
[Chọn D]
Câu 38. Chọn câu đúng.
Khi so sánh về cấu tạo của kính hiển vi và kính thiên văn, ta thấy:
A. Tiêu cự vật kính của kính thiên văn lớn hơn nhiều so với tiêu cự vật kính của kính hiển vi.
B. Thị kính của kính hiển vi có độ tụ lớn hơn nhiều so với thị kính của kính thiên văn.
C. Khoảng cách giữa vật kính và thị kính của chúng đều bằng f1 + f2 khi ngắm chừng ở vô cực.
D. Có thể biến kính thiên văn thành kính hiển vi bằng cách hoán đổi vị trí vật kính và thị kính cho nhau.
[Chọn A]
Câu 39. Một kính thiên văn có tiêu cự vật kính f1 = 160cm, thị kính f2 = 5cm. Một người mắt không có tật quan sát Mặt Trăng ở trạng thái mắt không điều tiết. Khoảng cách giữa hai kính và độ bội giác của ảnh khi đó là:
A. 155cm và 24.
B. 165cm và 30.
C. 165cm và 32.
D. 160cm và 32.
[Chọn C]

Câu 40. Một kính hiển vi có tiêu cự vật kính và thị kính lần lượt là f1 = 1cm và f2 = 4cm, khoảng cách giữa vật kính và thị kính là 20cm. Người quan sát có điểm cực cận cách mắt 20cm và điểm cực viễn ở vô cực, quan sát một vật nhỏ qua kính trong trạng thái mắt không điều tiết (mắt sát thị kính). Độ bội giác của ảnh là:
A. 100.
B. 75.
C. 70.
D. 80.
[Chọn B]
