Đề thi thử tốt nghiệp THPT năm 2013 - môn Toán (Đề 1)
ĐỀ THI THỬ TỐT NGHIỆP MÔN TOÁN NĂM 2012 - 2013
ĐỀ SỐ 1
I. PHẦN CHUNG CHO TẤT CẢ THÍ SINH (7,0 điểm)
Câu 1 (3,0 điểm) Cho hàm số y = -x3 + 3x2 - 1 có đồ thị (C)
1) Khảo sát sự biến thiên và vẽ đồ thị (C).
2) Dùng đồ thị (C) , xác định k để phương trình sau có đúng 3 nghiệm phân biệt: x3 - 3x2 + k = 0
Câu 2 (3,0 điểm)
1) Giải phương trình: 
2) Tính tích phân 
3) Tìm giá trị lớn nhất và giá trị nhỏ nhất của hàm số y = 2x3 + 3x2 - 12x + 2 trên [-1; 2]
Câu 3 (1,0 điểm) Cho hình lăng trụ tam giác đều ABC.A’B’C’ có tất cả các cạnh đều bằng a. Tính thể tích của hình lăng trụ và diện tích của mặt cầu ngoại tiếp hình lăng trụ theo a.
II . PHẦN RIÊNG (3 điểm)
A. Theo chương trình chuẩn:
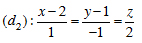
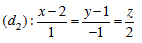
Câu 4a (2,0 điểm ): Trong không gian với hệ tọa độ Oxyz , cho hai đường thẳng
(d1): { x = 2 - 2t; y = 3; z = t và 
1) Chứng minh rằng hai đường thẳng vuông góc nhau nhưng không cắt nhau .
2) Viết phương trình đường vuông góc chung của (d1).(d2)
Câu 5a (1,0 điểm): Tìm môđun của số phức z = 1 + 4i + (1 - i)3
B. Theo chương trình nâng cao:
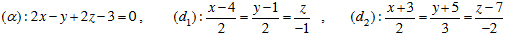
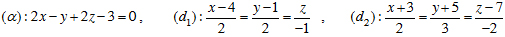
Câu 4b (2,0 điểm): Trong không gian với hệ tọa độ Oxyz, cho mặt phẳng (α) và hai đường thẳng (d1), (d2) có phương trình:

1) Chứng tỏ đường thẳng (d1) song song mặt phẳng (α) và (d2) cắt mặt phẳng (α)
2) Tính khoảng cách giữa hai đường thẳng (d1) và (d2)
3) Viết phương trình đường thẳng (d) song song với mặt phẳng (α), cắt đường thẳng và lần lượt tại M và N sao cho MN = 3 .
Câu 5b ( 1,0 điểm): Tìm nghiệm của phương trình z = z2 , trong đó z là số phức liên hợp của số phức z .