Giao diện mới của VnDoc Pro: Dễ sử dụng hơn - chỉ tập trung vào lớp bạn quan tâm. Vui lòng chọn lớp mà bạn quan tâm: Lưu và trải nghiệm
Đóng
Điểm danh hàng ngày
  • Hôm nay +3
  • Ngày 2 +3
  • Ngày 3 +3
  • Ngày 4 +3
  • Ngày 5 +3
  • Ngày 6 +3
  • Ngày 7 +5
Bạn đã điểm danh Hôm nay và nhận 3 điểm!
Nhắn tin Zalo VNDOC để nhận tư vấn mua gói Thành viên hoặc tải tài liệu Hotline hỗ trợ: 0936 120 169

Đề thi thử tốt nghiệp THPT tỉnh Đồng Tháp năm 2014

Loại File: PDF
Phân loại: Tài liệu Tính phí

SỞ GIÁO DỤC VÀ ĐÀO TẠO
TỈNH ĐỒNG THÁP

ĐỀ THI CHÍNH THỨC

THI DIỄN TẬP TỐT NGHIỆP THPT NĂM 2014
NĂM HỌC 2013 - 2014

Môn thi: TOÁN HỌC - Lớp 12
Ngày thi: 13/5/2014
Thời gian: 120 phút (không kể thời gian phát đề)

I. PHẦN CHUNG CHO TẤT CẢ THÍ SINH (7,0 điểm)

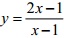
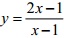
Câu 1 (3,0 điểm). Cho hàm số Đề thi thử tốt nghiệp THPT tỉnh Đồng Tháp năm 2014

1) Khảo sát sự biến thiên và vẽ đồ thị (C) của hàm số đã cho.

2) Tìm m để đường thẳng (d): y = -2x + m cắt đồ thị (C) tại hai điểm phân biệt.

Câu 2 (3,0 điểm)

1) Giải phương trình: Đề thi thử tốt nghiệp THPT tỉnh Đồng Tháp năm 2014

2) Tính tích phân: Đề thi thử tốt nghiệp THPT tỉnh Đồng Tháp năm 2014

3) Tìm các giá trị của tham số m để bất phương trình Đề thi thử tốt nghiệp THPT tỉnh Đồng Tháp năm 2014 có nghiệm.

Câu 3 (1,0 điểm). Cho hình chóp S.ABCD có đáy ABCD là hình chữ nhật với AB = a; AC = 2a. Hình chiếu vuông góc của đỉnh S trên mặt phẳng (ABCD) trùng với giao điểm của AC và BD, mặt phẳng (SAB) tạo với đáy một góc 60o. Tính thể tích khối chóp S.ABCD theo a.

II. PHẦN RIÊNG – PHẦN TỰ CHỌN (3,0 điểm) Thí sinh chỉ được làm một trong hai phần (phần 1 hoặc phần 2)

1. Theo chương trình chuẩn

Câu 4.a (2,0 điểm). Trong không gian với hệ tọa độ Oxyz, cho 3 điểm A(1; 0; 2), b(-2; 1; 1), C(- 1; -1; 1)

1) Viết phương trình mặt phẳng (ABC).

2) Viết phương trình mặt cầu (S) có tâm nằm trên mặt phẳng (Oxy) và đi qua các điểm A, B, C.

Câu 5.a (1,0 điểm). Tìm số phức z sao cho: Đề thi thử tốt nghiệp THPT tỉnh Đồng Tháp năm 2014

2. Theo chương trình Nâng cao

Câu 4.b (2,0 điểm). Trong không gian với hệ tọa độ Oxyz, cho đường thẳng (d) có phương trình Đề thi thử tốt nghiệp THPT tỉnh Đồng Tháp năm 2014 và mặt phẳng (P) có phương trình x - 3y + z - 4 = 0.

1) Tìm tọa độ giao điểm của đường thẳng (d) và mặt phẳng (P).

2) Viết phương trình mặt phẳng (Q) chứa đường thẳng (d) và vuông góc với mặt phẳng (P).

Câu 5.b (1,0 điểm). Giải phương trình z2 - (3 + 4i)z - 1 + 5i = 0 trên tập số phức.

Chọn file muốn tải về:
Đóng Chỉ thành viên VnDoc PRO/PROPLUS tải được nội dung này!
Đóng
79.000 / tháng
Đặc quyền các gói Thành viên
PRO
Phổ biến nhất
PRO+
Tải tài liệu Cao cấp 1 Lớp
30 lượt tải tài liệu
Xem nội dung bài viết
Trải nghiệm Không quảng cáo
Làm bài trắc nghiệm không giới hạn
Mua cả năm Tiết kiệm tới 48%
Xác thực tài khoản!

Theo Nghị định 147/2024/ND-CP, bạn cần xác thực tài khoản trước khi sử dụng tính năng này. Chúng tôi sẽ gửi mã xác thực qua SMS hoặc Zalo tới số điện thoại mà bạn nhập dưới đây:

Số điện thoại chưa đúng định dạng!
Số điện thoại này đã được xác thực!
Bạn có thể dùng Sđt này đăng nhập tại đây!
Lỗi gửi SMS, liên hệ Admin
Sắp xếp theo
🖼️

Thư viện Học liệu

Xem thêm
🖼️

Gợi ý cho bạn

Xem thêm