Đề thi thử vào lớp 10 môn Toán lần 2 trường Lương Thế Vinh năm 2023 - 2024
Đề thi thử vào 10 môn Toán trường Lương Thế Vinh, Hà Nội năm 2023 - 2024
VnDoc.com xin gửi tới các bạn Đề thi thử vào lớp 10 môn Toán trường Lương Thế Vinh, Hà Nội năm 2023 - 2024 để bạn đọc cùng tham khảo. Đây là tài liệu hay cho các bạn ôn luyện, chuẩn bị cho kì thi tuyển sinh vào lớp 10 sắp tới. Mời các bạn cùng tham khảo.
Đề thi thử vào lớp 10 môn Toán trường Lương Thế Vinh, Hà Nội năm 2023 - 2024 được biên soạn theo cấu trúc tự luận với thời gian làm bài 120 phút. Đề thi có đáp án kèm theo cho các em học sinh so sánh và đối chiếu sau khi làm xong.
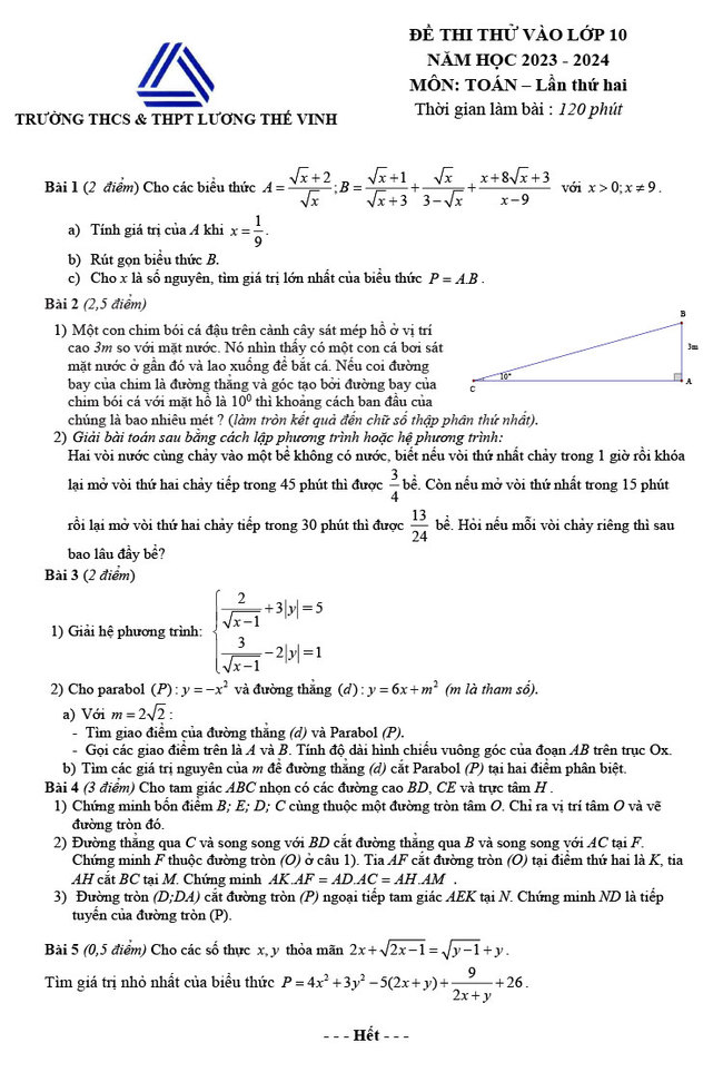
Đề thi thử vào 10 môn toán 2023 lần 2 trường Lương Thế Vinh

Đáp án đề thi thử vào 10 môn Toán 2023 Lương Thế Vinh lần 2


Để chuẩn bị cho kì thi tuyển sinh vào lớp 10 sắp tới, các em học sinh cần ôn tập theo đề cương, bên cạnh đó cần thực hành luyện đề để làm quen với nhiều dạng đề khác nhau cũng như nắm được cấu trúc đề thi. Chuyên mục Thi vào lớp 10 trên VnDoc tổng hợp đề thi của tất cả các môn, là tài liệu phong phú và hữu ích cho các em ôn tập và luyện đề.