Đề thi thử vào lớp 10 môn Toán Phòng GD&ĐT Sơn Dương, Tuyên Quang năm học 2017 - 2018
Đề thi thử vào lớp 10 môn Toán năm 2017
Đề thi thử vào lớp 10 môn Toán Phòng GD&ĐT Sơn Dương, Tuyên Quang năm học 2017 - 2018. Đề thi gồm có 5 câu hỏi tự luận với thời gian làm bài là 120 phút. Mời các bạn cùng tham khảo để củng cố lại phần kiến thức Toán học lớp 9 và nâng cao kỹ năng giải đề thi, làm quen với cấu trúc đề thi.
Đề thi thử vào lớp 10 môn Toán Phòng GD&ĐT Lâm Bình, Tuyên Quang năm học 2017 - 2018
Đề thi thử vào lớp 10 môn Toán Phòng GD&ĐT Na Hang, Tuyên Quang năm học 2017 - 2018
| PHÒNG GIÁO DỤC SƠN DƯƠNG | ĐỀ THI THỬ TUYỂN SINH VÀO LỚP 10 Năm học 2017 - 2018 MÔN THI: TOÁN Thời gian: 120 phút (không kể thời gian giao đề) |
Câu 1 (2,0 điểm)
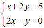
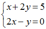
a) Giải hệ phương trình: 
b) Giải phương trình: x2 + 6x + 8 = 0
Câu 2. (2,0 điểm): Cho hàm số y = 2x + 3 và hàm số y = x2
a) Vẽ đồ thị hai hàm số đã cho trên cùng một mặt phẳng tọa độ.
b) Tìm tọa độ giao điểm của hai đồ thị hàm số.
Câu 3 (2,0 điểm)
Một mảnh đất hình chữ nhật có chiều dài lớn hơn chiều rộng là 7m và diện tích bằng 120 m2. Tính chiều dài và chiều rộng của mảnh đất đó.
Câu 4 (3,5 điểm)
Cho đường tròn (O; R) đường kính AB. Dây MN vuông góc với AB tại I (I nằm giữa A và O). Trên đoạn MI lấy điểm D, vẽ dây AC đi qua D.
a) Chứng minh tứ giác DCBI nội tiếp đường tròn.
b) Chứng minh ![]()
c) Chứng minh AC.AD + BI.BA = 4R2
Câu 5 ( 0,5 điểm) Chứng minh ![]()
---------Hết -------
Đáp án đề thi thử vào lớp 10 môn Toán


