Đề thi thử vào lớp 10 môn Toán trường THCS Ngô Gia Tự năm 2014 - 2015
Đề thi thử vào lớp 10 môn Toán
Đề thi thử vào lớp 10 môn Toán trường THCS Ngô Gia Tự năm 2014 - 2015 được VnDoc.com sưu tầm và giới thiệu tới các bạn học sinh nhằm giúp các em học sinh có thêm nhiều tài liệu ôn thi vào lớp 10 môn Toán hiệu quả. Mời các em cùng tham khảo.
Đề thi thử vào lớp 10 môn Toán phòng GD&ĐT Thành Tân, Thanh Hóa năm 2014 - 2015
Đề thi thử vào lớp 10 lần 1 môn Ngữ văn trường THCS Lạc Viên, Hải Phòng năm 2015 - 2016
|
TRƯỜNG THCS NGÔ GIA TỰ |
ĐỀ THI THỬ VÀO LỚP 10 MÔN: TOÁN NĂM: 2014 - 2015 |
Bài 1 (2,0 điểm)
a) Giải phương trình: 2x - 1 = 3(x+1)
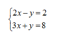
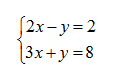
b) Giải hệ phương trình

c) Tìm m để đồ thị hàm số y = (m - 1)x + 2 song song với đồ thị hàm số y = x + 1 .
Bài 2 (2,0 điểm)
a) Rút gọn biểu thức

với x >0, y>0 và x # y.
b) Một ôtô khởi hành từ A để đi đến B cách nhau 240km. Một giờ sau, một ôtô thứ hai cũng khởi hành từ A đi đến B với vận tốc lớn hơn vận tốc ôtô thứ nhất là 10km/h nên đã đuổi kịp ôtô thứ nhất ở chính giữa quãng đường AB. Tính vận tốc của mỗi xe.
Bài 3 (2,0 điểm)
Cho phương trình (ẩn x) : x2 – 2x + 2m – 1= 0 (1)
a) Tìm m để phương trình (1) có hai nghiệm.
b) Gọi hai nghiệm của phương trình (1) là. Tìm m để:
![]()
Bài 4 (3,0 điểm)
Cho đường tròn (O), đường kính AB và một điểm C trên AB. Trên đường tròn lấy một điểm D. Gọi I là điểm chính giữa của cung nhỏ DB, IC cắt đường tròn tại E, DE cắt AI tại K.
a) Chứng minh rằng: Tứ giác AKCE là tứ giác nội tiếp.
b) Chứng minh rằng: CK vuông góc với AD.
c) Kẻ Cx // AD, Cx cắt DE tại F. Chứng minh rằng tam giác FBC cân.
Bài 5 (1,0 điểm)
Tìm giá trị lớn nhất và giá trị nhỏ nhất của biểu thức: A = xy
Biết rằng x và ylà nghiệm của phương trình: x4 + y4 – 3 = xy(1-2y)
Đáp án đề thi thử vào lớp 10 môn Toán
