Đề thi thử vào lớp 10 môn Toán trường THPT Trần Nguyên Hãn, Hải Phòng năm học 2017 - 2018 (Lần 2)
Đề thi thử vào lớp 10 năm 2017 môn Toán
Kỳ tuyển sinh vào lớp 10 sắp diễn ra, đây chính là thời điểm quan trọng để các bạn học sinh lớp 9 ôn tập chuẩn bị kiến thức và kỹ năng, để giúp các bạn học sinh nâng cao kỹ năng giải đề VnDoc xin được giới thiệu tới bạn: Đề thi thử vào lớp 10 môn Toán trường THPT Trần Nguyên Hãn, Hải Phòng năm học 2017 - 2018 (Lần 2)
Đề thi thử vào lớp 10 môn Toán Sở GD&ĐT Bắc Giang năm học 2017 - 2018
Đề thi thử vào lớp 10 môn Toán trường THCS Hoàng Hoa Thám, Lào Cai năm học 2017 - 2018
| SỞ GD&ĐT HẢI PHÒNG TRƯỜNG THPT TRẦN NGUYÊN HÃN |
KỲ THI THỬ VÀO LỚP 10 THPT LẦN THỨ HAI Ngày thi 21/05/2017 BÀI THI MÔN TOÁN Thời gian làm bài: 120 phút (không kể thời gian giao đề) Chú ý: Đề thi gồm 2 trang. Thí sinh làm bài vào tờ giấy thi. |
Bài 1 (1.5 điểm)
1. Rút gọn biểu thức ![]()
2. Cho biểu thức
với x ≥ 0, x ≠ 1
a) Rút gọn biểu thức B.
b) Tính giá trị của biểu thức B khi ![]()
Bài 2 (1.5 điểm)
a) Tìm các hệ số a và b biết hai đường thẳng y = ax + 3 (d) và y = -2x + b (d') cắt nhau tại điểm M(2; ½).
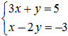
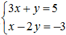
b) Giải hệ phương trình
.
Bài 3 (2.5 điểm)
1. Cho phương trình: x2 – 2x + 2 – m = 0 (với m là tham số)
a) Giải phương trình (1) khi m = 3.
b) Giả sử x1; x2 là hai nghiệm của phương trình (1). Tìm giá trị nhỏ nhất của biểu thức P = x21x22 + 3x21 + 3x22 - 4.
2. Bài toán thực tế
Điều 6 Nghị định 171/2013/NĐ–CP quy định về xử phạt vi phạm hành chính trong lĩnh vực giao thông đường bộ và đường sắt như sau:
"Đối với người điều khiển xe ôtô:
– Phạt tiền từ 600.000 đến 800.000 đồng nếu điều khiển xe chạy quá tốc độ quy định từ 5 km/h đến dưới 10 km/h.
– Phạt tiền từ 2 triệu đến 3 triệu đồng nếu điều khiển chạy quá tốc độ quy định từ 10 km/h đến 20 km/h.
– Phạt tiền từ 4 triệu đến 6 triệu đồng nếu điều khiển xe chạy quá tốc độ quy định trên 20 km/h đến 35 km/h.
– Phạt tiền từ 7 triệu đến 8 triệu đồng nếu điều khiển xe chạy quá tốc độ quy định trên 35 km/h; điều khiển xe đi ngược chiều trên đường cao tốc, trừ các xe ưu tiên đang đi làm nhiệm vụ khẩn cấp theo quy định..."
Áp dụng các quy định trên để giải bài toán sau:
Đường cao tốc Hà Nội – Hải Phòng dài 105 km. Trên đường này, tốc độ tối đa cho phép của xe ô tô là 120 km/h. Hai xe ô tô của chú An và chú Bình bắt đầu chạy vào đường cao tốc từ phía Hà Nội tại cùng một thời điểm. Xe của chú An chạy chậm hơn xe của chú Bình 40 km/h nên đến hết đường cao tốc sau xe của chú Bình 18 phút. Giả sử vận tốc của hai xe không đổi trên đường cao tốc. Hỏi có xe nào vi phạm về tốc độ hay không? Nếu vi phạm thì mức phạt là bao nhiêu tiền?
Bài 4 (3.5 điểm)
1. Cho nửa đường tròn tâm O đường kính AB. Điểm H nằm giữa điểm A và điểm O. Đường thẳng đi qua điểm H và vuông góc với AO cắt nửa đường tròn (O) tại C. Trên cung BC lấy điểm D bất kì (điểm D khác điểm B và điểm C). Tiếp tuyến của nửa đường tròn (O) tại điểm D cắt đường thẳng HC tại điểm I. Gọi E là giao điểm của AD và HC.
a) Chứng minh tứ giác BDEH nội tiếp. Xác định tâm của đường tròn này.
b) Chứng minh IE = ID.
c) Gọi O' là tâm đường tròn ngoại tiếp tam giác CDE. Chứng minh B, O', C thẳng hàng.
2. Cho hình chữ nhật ABCD có AB = 2cm; AD = 3cm. Quay hình chữ nhật này một vòng quanh cạnh AD cố định. Tính diện tích toàn phần của hình được tạo thành.
Bài 5 (1.0 điểm)
a) Cho hai số dương x, y. Chứng minh rằng:
.
Dấu bằng xảy ra khi nào?
b) Cho ba số dương a, b, c thỏa mãn abc = 1. Tìm giá trị lớn nhất của biểu thức
![]()
Đáp án đề thi thử vào lớp 10 môn Toán





Chú ý:
- Trên đây chỉ trình bày một cách giải, nếu thí sinh làm cách khác mà đúng thì cho điểm tối đa ứng với điểm của câu đó trong biểu điểm.
- Thí sinh làm đúng đến đâu thì cho điểm đến đó theo đúng biểu điểm.
- Thí sinh trình bày một câu hai lần giống nhau hoặc hai cách khác nhau mà có kết quả không thống nhất thì không cho điểm câu đó.
- Trong một câu, thí sinh làm phần trên sai, phần dưới đúng thì không cho điểm.
- Bài hình học, thí sinh vẽ sai hình thì không cho điểm. Thí sinh không vẽ hình mà vẫn làm đúng thì cho nửa số điểm của các câu làm được.
- Bài làm có nhiều ý liên quan đến nhau, nếu thí sinh công nhận ý trên mà làm đúng ý dưới thì cho điểm ý đó.