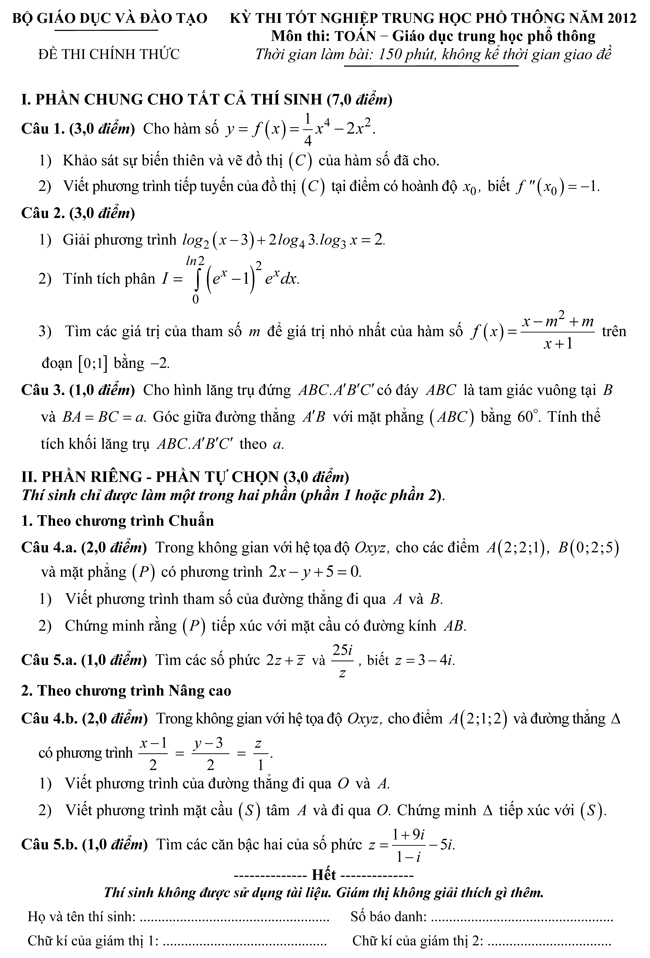
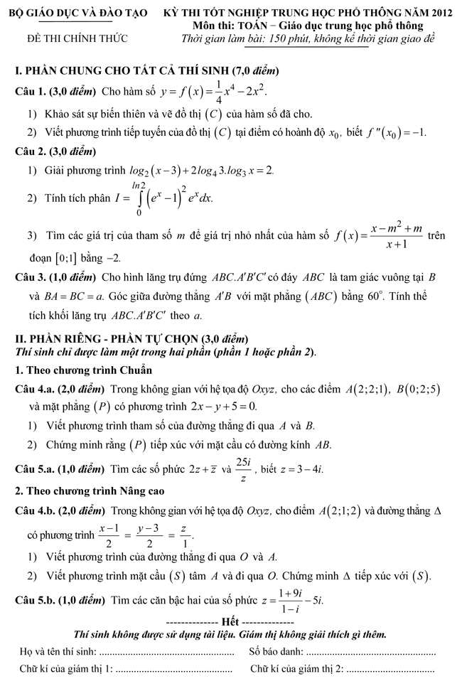
Đề thi tốt nghiệp THPT môn Toán hệ Phổ thông năm 2012
Đề thi TN THPT môn Toán
Loại File:
PDF
Phân loại:
Tài liệu Tính phí
Đề thi tốt nghiệp THPT môn Ngữ văn hệ Giáo dục trung học phổ thông năm 2012
