Đề thi tốt nghiệp THPT năm 2010 - môn Toán (Giáo dục thường xuyên)
| BỘ GIÁO DỤC VÀ ĐÀO TẠO (Đề thi chính thức) |
KỲ THI TỐT NGHIỆP TRUNG HỌC PHỔ THÔNG NĂM 2010 Môn thi: TOÁN − Giáo dục thường xuyên Thời gian làm bài: 150 phút, không kể thời gian giao đề |
Câu 1. (3,0 điểm)
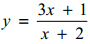
Cho hàm số 
1) Khảo sát sự biến thiên và vẽ đồ thị (C) của hàm số đã cho.
2) Viết phương trình tiếp tuyến của đồ thị (C) tại điểm có hoành độ x = −1.
Câu 2. (2,0 điểm)
1) Tìm giá trị lớn nhất và giá trị nhỏ nhất của hàm số f (x) = x4 −8x2 + 5 trên đoạn [−1; 3].
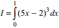
2) Tính tích phân 
Câu 3. (2,0 điểm)
Trong không gian với hệ tọa độ Oxyz, cho hai điểm M(1; 2; 3), N(−3; 4; 1) và mặt phẳng (P) có phương trình x + 2y − z + 4 = 0.
1) Viết phương trình mặt phẳng trung trực của đoạn thẳng MN.
2) Tìm tọa độ giao điểm của đường thẳng MN và mặt phẳng (P).
Câu 4. (2,0 điểm)
1) Giải phương trình 9x − 3x − 6 = 0.
2) Giải phương trình 2z2 + 6z + 5 = 0 trên tập số phức.
Câu 5. (1,0 điểm)
Cho hình chóp S.ABCD có đáy ABCD là hình chữ nhật tâm O; SA = SB = SC = SD. Biết AB = 3a, BC = 4a và SAO = 45o. Tính thể tích khối chóp S.ABCD theo a.