Đề thi tốt nghiệp THPT năm 2011 hệ giáo dục thường xuyên - môn Toán
| BỘ GIÁO DỤC VÀ ĐÀO TẠO (Đề thi chính thức) |
KỲ THI TỐT NGHIỆP TRUNG HỌC PHỔ THÔNG NĂM 2011 Mã đề thi: 931 |
Câu 1. (3,0 điểm)
Cho hàm số y = 2x3 - 6x - 3
1) Khảo sát sự biến thiên và vẽ đồ thị (C) của hàm số đã cho.
2) Viết phương trình tiếp tuyến của đồ thị (C) tại giao điểm của đồ thị (C) với trục tung.
Câu 2. (2,0 điểm)
1) Tìm giá trị lớn nhất và giá trị nhỏ nhất của hàm số
trên đoạn [-2; 5 ]
2) Tính tích phân: 
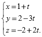
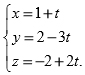
Câu 3. (2,0 điểm) Trong không gian với hệ tọa độ Oxyz cho điểm A(0;1;4) và đường thẳng d có phương trình:

1) Viết phương trình mặt phẳng (P) đi qua điểm A và vuông góc với đường thẳng d
2) Tìm tọa độ hình chiếu vuông góc của điểm A trên đường thẳng d
Câu 4. (2,0 điểm)
1) Giải phương trình 
2) Tìm số phức liên hợp và tính môđun của số phức z, biết z = (2 + 4i) + 2i(1 - 3i)
Câu 5. (1,0 điểm)
Cho hình chóp S.ABC có đáy ABC là tam giác đều cạnh a. Biết SA vuông góc với mặt phẳng (ABC) và SB = 2a. Tính thể tích khối chóp S.ABC theo a