Đề thi tốt nghiệp THPT năm 2011 hệ phổ thông - môn Toán
| BỘ GIÁO DỤC VÀ ĐÀO TẠO (Đề thi chính thức) |
KỲ THI TỐT NGHIỆP TRUNG HỌC PHỔ THÔNG NĂM 2011 |
I. PHẦN CHUNG CHO TẤT CẢ CÁC THÍ SINH (7,0 điểm)
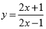
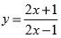
Câu 1. (3,0 điểm) Cho hàm số 
1) Khảo sát sự biến thiên và vẽ đồ thị (C) của hàm số đã cho.
2) Xác định tọa độ giao điểm của đồ thị (C) với đường thẳng y = x + 2 .
Câu 2. (3,0 điểm)
1) Giải phương trình 72x + 1 - 8.7x + 1 = 0
2) Tính tích phân 
3) Xác định giá trị của tham số m để hàm số y = x3 - 2x2 + mx + 1 đạt cực tiểu tại x = 1
Câu 3. (1,0 điểm) Cho hình chóp S.ABCD có đáy ABCD là hình thang vuông tại A và D với AD = CD = a , AB = 3a. Cạnh bên SA vuông góc với mặt đáy và cạnh bên SC tạo với mặt đáy một góc 45o. Tính thể tích khối chóp S theo a.
II. PHẦN RIÊNG - PHẦN TỰ CHỌN (3,0 điểm)
Thí sinh chỉ được làm một trong hai phần (phần 1 hoặc phần 2).
1. Theo chương trình Chuẩn (3,0 điểm)
Câu 4.a. (2,0 điểm) Trong không gian với hệ tọa độ Oxyz , cho điểm A(3;1;0) và mặt phẳng (P) có phương trình 2x + 2y − z +1= 0
1) Tính khoảng cách từ điểm A đến mặt phẳng (P). Viết phương trình mặt phẳng (!) đi qua điểm A và song song với mặt phẳng (P) .
2) Xác định tọa độ hình chiếu vuông góc của điểm A trên mặt phẳng (P) .
Câu 5.a. (1,0 điểm) Giải phương trình (1−i)z + (2 −i) = 4 −5i trên tập số phức.
2. Theo chương trình Nâng cao (3,0 điểm)
Câu 4.b. (2,0 điểm) Trong không gian với hệ tọa độ Oxyz , cho ba điểm A(0;0;3); B(−1;−2;1) và C (−1;0;2)
1) Viết phương trình mặt phẳng (ABC) .
2) Tính độ dài đường cao của tam giác ABC kẻ từ đỉnh A.
Câu 5.b. (1,0 điểm) Giải phương trình (z - 1)2 + 4 = 0 trên tập số phức.