Đề thi tốt nghiệp THPT năm 2013 môn Toán (Hệ GDTX) - Có đáp án
BỘ GIÁO DỤC VÀ ĐÀO TẠO
|
KỲ THI TỐT NGHIỆP TRUNG HỌC PHỔ THÔNG NĂM 2013
|
Câu 1 (3,0 điểm)
Cho hàm số y = - 2x3 + 3x2 + 1.
1) Khảo sát sự biến thiên và vẽ đồ thị (C) của hàm số đã cho.
2) Viết phương trình tiếp tuyến của (C) tại điểm có hoành độ bằng 2.
Câu 2 (2,0 điểm)
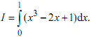
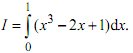
1) Tính tích phân 
2) Tìm giá trị lớn nhất và giá trị nhỏ nhất của hàm số
trên đoạn [-1; 2]
Câu 3 (2,0 điểm)
Trong không gian với hệ tọa độ Oxyz, cho hai điểm A(1; 2; -1), B(0; 1; 0) và mặt phẳng (P) có phương trình: x + y + 2z - 7 = 0.
1) Viết phương trình tham số của đường thẳng đi qua hai điểm A và B.
2) Tìm tọa độ điểm H là hình chiếu vuông góc của A trên (P).
Câu 4 (2,0 điểm)
1) Giải phương trình 25x - 26.5x + 25 = 0
2) Tìm số phức liên hợp của số phức z, biết z = 5i(1 - 2i) + (1 - i)
Câu 5 (1,0 điểm)
Cho hình chóp S.ABC có đáy ABC là tam giác vuông cân tại B, AB = a; SB a√2 và SA vuông góc với mặt phẳng đáy. Tính thể tích khối chóp S.ABC theo a.