Đề thi tuyển sinh lớp 10 THPT Cao Nguyên tỉnh Đăk Lăk năm học 2013 - 2014 môn Toán
Vndoc.com xin giới thiệu đến các bạn lớp 9, chuẩn bị thi lên lớp 10: Đề thi tuyển sinh lớp 10 THPT Cao Nguyên tỉnh Đăk Lăk năm học 2013 - 2014 môn Toán.
Đề thi tuyển sinh lớp 10 môn Toán:
SỞ GIÁO DỤC VÀ ĐÀO TẠO
|
KÌ THI TUYỂN SINH LỚP 10 THPT
|
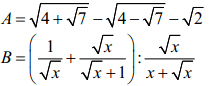
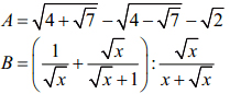
Câu 1: (1,5 điểm)
Thu gọn các biểu thức:

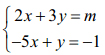
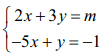
Câu 2: (1,5 điểm)
Cho hệ phương trình: 
1. Giải hệ khi m = 3
2. Tìm m để hệ có nghiệm x > 0, y > 0
Câu 3: (2,0 điểm)
Cho phương trình: ![]()
1. Giải phương trình (1) khi m = -4
2. Tìm m để phương trình (1) có hai nghiệm phân biệt x1, x2 thỏa mãn
.
Câu 4: (4,0 điểm)
Từ một điểm A ngoài đường tròn (O), vẽ hai tiếp tuyến AB và AC và cát tuyến AMN của đường tròn đó. Gọi I là trung điểm dây MN, H là giao điểm của AO và BC. Chứng minh:
a. Năm điểm A, B, I, O, C cùng nằm trên một đường tròn
b. AB2 = AM.AN
c. góc AHM = góc ANO
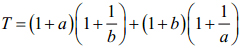
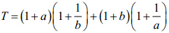
Câu 5: (1,0 điểm)
Cho a, b > 0 và a2 + b2 = 1. Tìm giá trị nhỏ nhất của biểu thức:![]()