Giao diện mới của VnDoc Pro: Dễ sử dụng hơn - chỉ tập trung vào lớp bạn quan tâm. Vui lòng chọn lớp mà bạn quan tâm: Lưu và trải nghiệm
Đóng
Điểm danh hàng ngày
  • Hôm nay +3
  • Ngày 2 +3
  • Ngày 3 +3
  • Ngày 4 +3
  • Ngày 5 +3
  • Ngày 6 +3
  • Ngày 7 +5
Bạn đã điểm danh Hôm nay và nhận 3 điểm!
Nhắn tin Zalo VNDOC để nhận tư vấn mua gói Thành viên hoặc tải tài liệu Hotline hỗ trợ: 0936 120 169

Đề thi tuyển sinh lớp 10 THPT chuyên Đại học Sư Phạm Hà Nội năm học 2012 - 2013

Lớp: Lớp 10
Loại File: Word
Phân loại: Tài liệu Tính phí

Để chuẩn bị cho kỳ thi tuyển sinh vào lớp 10, Vndoc.com xin giới thiệu đến bạn đọc: Đề thi tuyển sinh lớp 10 THPT chuyên Đại học Sư Phạm Hà Nội năm học 2012 - 2013.

Đề thi tuyển sinh lớp 10 khối chuyên ĐHSP:

BỘ GIÁO DỤC VÀ ĐÀO TẠO
TRƯỜNG ĐẠI HỌC SƯ PHẠM HÀ NỘI

ĐỀ THI CHÍNH THỨC

ĐỀ THI VÀO LỚP 10 HỆ THPT CHUYÊN
NĂM HỌC: 2012 - 2013

ĐỀ THI MÔN: TOÁN

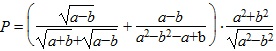
Câu 1 (2 điểm). Cho biểu thức:

Đề thi tuyển sinh lớp 10 THPT chuyên Đại học Sư Phạm Hà Nội với a > b > 0.

a) Rút gọn P.

b) Biết a − b = 1. Tìm giá trị nhỏ nhất của P.

Câu 2 (2 điểm).

Trên quãng đường AB dài 210 km, tại cùng một thời điểm, một xe máy khởi hành từ A đi về B và một ô tô khởi hành từ B đi về A. Sau khi gặp nhau, xe máy đi tiếp 4 giờ nữa thì đến B và ô tô đi tiếp 2 giờ 15 phút nữa thì đến A. Biết rằng xe máy và ô tô không thay đổi vận tốc trên suốt chặng đường. Tính vận tốc của xe máy và của ô tô.

Câu 3 (2 điểm).

Trong mặt phẳng tọa độ Oxy, cho parabol (P) : y = − x2 và đường thẳng (d): y = mx − n − 2 (m là tham số).

a) Chứng minh rằng khi m thay đổi, (d) luôn cắt (P) tại hai điểm phân biệt có hoành độ x1, x2.

b) Tìm m để |x1 − x2| = √20.

Câu 4 (3 điểm).

Cho tam giác ABC. Đường tròn (ω) có tâm O và tiếp xúc với các đoạn thẳng AB, AC tương ứng tại K, L. Tiếp tuyến (d) của đường tròn (ω) tại điểm E thuộc cung nhỏ KL, cắt các đường thẳng AL, AK tương ứng tại M, N. Đường thẳng KL cắt OM tại P và cắt ON tại Q.

a) Chứng minh góc MON = 900 − 1/2 góc BAC.

b) Chứng minh rằng các đường thẳng MQ, NP và OE cùng đi qua một điểm.

c) Chứng minh KQ.PL = EM.EN

Câu 5 (1 điểm).

Cho các số thực dương x, y thỏa mãn điều kiện Tìm giá trị nhỏ nhất của biểu thức P = x + y.

Chọn file muốn tải về:
Đóng Chỉ thành viên VnDoc PRO/PROPLUS tải được nội dung này!
Đóng
79.000 / tháng
Đặc quyền các gói Thành viên
PRO
Phổ biến nhất
PRO+
Tải tài liệu Cao cấp 1 Lớp
30 lượt tải tài liệu
Xem nội dung bài viết
Trải nghiệm Không quảng cáo
Làm bài trắc nghiệm không giới hạn
Mua cả năm Tiết kiệm tới 48%
6

Có thể bạn quan tâm

Xác thực tài khoản!

Theo Nghị định 147/2024/ND-CP, bạn cần xác thực tài khoản trước khi sử dụng tính năng này. Chúng tôi sẽ gửi mã xác thực qua SMS hoặc Zalo tới số điện thoại mà bạn nhập dưới đây:

Số điện thoại chưa đúng định dạng!
Số điện thoại này đã được xác thực!
Bạn có thể dùng Sđt này đăng nhập tại đây!
Lỗi gửi SMS, liên hệ Admin
Sắp xếp theo
🖼️

Lớp 10

Xem thêm
🖼️

Gợi ý cho bạn

Xem thêm