Giao diện mới của VnDoc Pro: Dễ sử dụng hơn - chỉ tập trung vào lớp bạn quan tâm. Vui lòng chọn lớp mà bạn quan tâm: Lưu và trải nghiệm
Đóng
Điểm danh hàng ngày
  • Hôm nay +3
  • Ngày 2 +3
  • Ngày 3 +3
  • Ngày 4 +3
  • Ngày 5 +3
  • Ngày 6 +3
  • Ngày 7 +5
Bạn đã điểm danh Hôm nay và nhận 3 điểm!
Nhắn tin Zalo VNDOC để nhận tư vấn mua gói Thành viên hoặc tải tài liệu Hotline hỗ trợ: 0936 120 169

Đề thi tuyển sinh lớp 10 THPT chuyên Hạ Long năm 2013 - 2014

Lớp: Lớp 10
Loại File: PDF
Phân loại: Tài liệu Tính phí

Vndoc.com xin giới thiệu đến các bạn lớp 9, chuẩn bị thi lên lớp 10: Đề thi tuyển sinh lớp 10 THPT chuyên Hạ Long năm 2013 - 2014.

Đề thi tuyển sinh lớp 10 môn Toán:

SỞ GIÁO DỤC VÀ ĐÀO TẠO
QUẢNG NINH

ĐỀ THI CHÍNH THỨC

KỲ THI TUYỂN SINH LỚP 10
TRƯỜNG THPT CHUYÊN HẠ LONG
NĂM HỌC: 2013 - 2014

ĐỀ THI MÔN: TOÁN

(Dành cho học sinh chuyên Toán, chuyên Tin)
Ngày thi: 29/6/2013
Thời gian làm bài: 150 phút (không kể thời gian giao đề)


Câu I. ( 2,0 điểm)

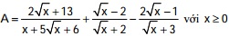
1) Cho biểu thức Đề thi tuyển sinh lớp 10 THPT chuyên Hạ Long năm 2013 - 2014

a. Rút gọn biểu thức A.

b. Tìm giá trị của x để A nhận giá trị nguyên.

2) Tìm số nguyên dương n để Đề thi tuyển sinh lớp 10 THPT chuyên Hạ Long năm 2013 - 2014 là số nguyên tố.

Câu II. (1,5 điểm)

Trên mặt phẳng tọa độ Oxy cho parabol (P) y = x2 và đường thẳng (d): y = mx + 2.

a) Chứng minh rằng với mọi giá trị của m thì đường thẳng (d) luôn cắt parabol (P) tại 2 điểm nằm về hai phía của trục tung.

b) Giả sử đường thẳng (d) cắt parabol (P) tại A(x1; y1) và B(x2; y2). Tìm giá trị của m để Đề thi tuyển sinh lớp 10 THPT chuyên Hạ Long năm 2013 - 2014.

Câu III. (2,0 điểm)

1) Giải phương trình: Đề thi tuyển sinh lớp 10 THPT chuyên Hạ Long năm 2013 - 2014

2) Giải hệ phương trình: Đề thi tuyển sinh lớp 10 THPT chuyên Hạ Long năm 2013 - 2014

Câu IV. (3,5 điểm)

Cho đường tròn (O; R), đường kính AB cố định, đường kính CD thay đổi (CD # AB). Các tia BC, BD cắt tiếp tuyến của đường tròn (O) tại A lần lượt ở E, F.

a) Chứng minh tứ giác CDFE nội tiếp.

b) Khi đường kính CD thay đổi, tìm giá trị nhỏ nhất của EF theo R.

c) Đường tròn đi qua ba điểm O, D, F và đường tròn đi qua ba điểm O, C, E cắt nhau ở G (G # O). Chứng minh ba điểm B, A, G thẳng hàng.

Câu V. (1,0 điểm)

Cho số thực x thỏa mãn 0 < x < 1. Chứng minh rằng Đề thi tuyển sinh lớp 10 THPT chuyên Hạ Long năm 2013 - 2014

Chọn file muốn tải về:
Đóng Chỉ thành viên VnDoc PRO/PROPLUS tải được nội dung này!
Đóng
79.000 / tháng
Đặc quyền các gói Thành viên
PRO
Phổ biến nhất
PRO+
Tải tài liệu Cao cấp 1 Lớp
30 lượt tải tài liệu
Xem nội dung bài viết
Trải nghiệm Không quảng cáo
Làm bài trắc nghiệm không giới hạn
Mua cả năm Tiết kiệm tới 48%
1

Có thể bạn quan tâm

Xác thực tài khoản!

Theo Nghị định 147/2024/ND-CP, bạn cần xác thực tài khoản trước khi sử dụng tính năng này. Chúng tôi sẽ gửi mã xác thực qua SMS hoặc Zalo tới số điện thoại mà bạn nhập dưới đây:

Số điện thoại chưa đúng định dạng!
Số điện thoại này đã được xác thực!
Bạn có thể dùng Sđt này đăng nhập tại đây!
Lỗi gửi SMS, liên hệ Admin
Sắp xếp theo
🖼️

Lớp 10

Xem thêm
🖼️

Gợi ý cho bạn

Xem thêm