Giao diện mới của VnDoc Pro: Dễ sử dụng hơn - chỉ tập trung vào lớp bạn quan tâm. Vui lòng chọn lớp mà bạn quan tâm: Lưu và trải nghiệm
Đóng
Điểm danh hàng ngày
  • Hôm nay +3
  • Ngày 2 +3
  • Ngày 3 +3
  • Ngày 4 +3
  • Ngày 5 +3
  • Ngày 6 +3
  • Ngày 7 +5
Bạn đã điểm danh Hôm nay và nhận 3 điểm!
Nhắn tin Zalo VNDOC để nhận tư vấn mua gói Thành viên hoặc tải tài liệu Hotline hỗ trợ: 0936 120 169

Đề thi tuyển sinh lớp 10 THPT chuyên Lam Sơn tỉnh Thanh Hóa năm học 2013 - 2014 môn Toán

Lớp: Lớp 10
Loại File: Word
Phân loại: Tài liệu Tính phí

Vndoc.com xin giới thiệu đến các bạn lớp 9, chuẩn bị thi lên lớp 10: Đề thi tuyển sinh lớp 10 THPT chuyên Lam Sơn tỉnh Thanh Hóa năm học 2013 - 2014 môn Toán.

Đề thi tuyển sinh lớp 10 môn Toán:

SỞ GIÁO DỤC VÀ ĐÀO TẠO
THANH HÓA

ĐỀ THI CHÍNH THỨC

KỲ THI TUYỂN SINH VÀO LỚP 10 THPT CHUYÊN LAM SƠN
NĂM HỌC 2013 - 2014

MÔN THI: TOÁN
Thời gian làm bài: 120 phút (không kể thời gian giao đề)

Câu 1:

Cho biểu thức

1. Rút gọn P.

2. Tìm giá trị của x để P = 3.

Câu 2:

Cho hệ phương trình: Đề thi tuyển sinh lớp 10 THPT chuyên Lam Sơn tỉnh Thanh Hóa

1. Giải hệ với m=3.

2. Tìm m để hệ có nghiệm duy nhất thỏa mãn x2 − x − y > 0.

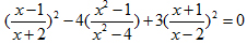
Câu 3:

Giải phương trình Đề thi tuyển sinh lớp 10 THPT chuyên Lam Sơn tỉnh Thanh Hóa

Câu 4:

Cho 3 điểm A, B, C phân biệt thẳng hàng và theo thứ tự đó sao cho AB ≠ BC. Trong một nửa mặt phẳng bờ là đường thẳng AC dựng các hình vuông ABDE và BCFK. Gọi I là trung điểm của EF, đường thẳng qua I vuông góc với EF cắt các đường thẳng BD và AB lần lượt tại M và N. CMR:

1. Các tứ giác AEIN và EMDI nội tiếp,

2. Ba điểm A, I, D thẳng hàng và B, N, E, M, F cùng thuộc 1 đường tròn.

3. AK, EF, CD đồng quy.

Câu 5:

Cho 3 số thực dương x, y, z thỏa mãn x + y + z = 9. Tính giá trị nhỏ nhất của biểu thức:
Đề thi tuyển sinh lớp 10 THPT chuyên Lam Sơn tỉnh Thanh Hóa

Chọn file muốn tải về:
Đóng Chỉ thành viên VnDoc PRO/PROPLUS tải được nội dung này!
Đóng
79.000 / tháng
Đặc quyền các gói Thành viên
PRO
Phổ biến nhất
PRO+
Tải tài liệu Cao cấp 1 Lớp
30 lượt tải tài liệu
Xem nội dung bài viết
Trải nghiệm Không quảng cáo
Làm bài trắc nghiệm không giới hạn
Mua cả năm Tiết kiệm tới 48%
7

Có thể bạn quan tâm

Xác thực tài khoản!

Theo Nghị định 147/2024/ND-CP, bạn cần xác thực tài khoản trước khi sử dụng tính năng này. Chúng tôi sẽ gửi mã xác thực qua SMS hoặc Zalo tới số điện thoại mà bạn nhập dưới đây:

Số điện thoại chưa đúng định dạng!
Số điện thoại này đã được xác thực!
Bạn có thể dùng Sđt này đăng nhập tại đây!
Lỗi gửi SMS, liên hệ Admin
Sắp xếp theo
🖼️

Lớp 10

Xem thêm
🖼️

Gợi ý cho bạn

Xem thêm