Đề thi tuyển sinh lớp 10 THPT chuyên Lê Hồng Phong tỉnh Nam Định năm học 2013 - 2014 môn Toán
Nhằm giúp các bạn chuẩn bị thật tốt kiến thức để làm bài thi đạt hiệu quả cao, Vndoc.com xin giới thiệu: Đề thi tuyển sinh lớp 10 THPT chuyên Lê Hồng Phong tỉnh Nam Định năm học 2013 - 2014 môn Toán.
Đề thi tuyển sinh lớp 10 môn Toán:
SỞ GIÁO DỤC VÀ ĐÀO TẠO
|
ĐỀ THI TUYỂN SINH VÀO LỚP 10 TRƯỜNG THPT
|
Bài 1 (1,5 điểm)
1. Cho phương trình x2 + 4x - m = 0. Tìm m để phương trình đã cho có nghiệm.
2. Tìm tọa độ của điểm thuộc đồ thị hàm số y = 4x2, biết rằng điểm đó có tung độ bằng 4.
3. Cho hàm số y = (m + 5)x + 3m (với m # -5). tìm điểm m để hàm số đồng biến trên ¡
4. Cho đường tròn đường kính BC = 5cm và điểm A thuộc đường tròn đó sao cho AC = 4cm. Tính tanABC
Bài 2 (2,0 điểm)
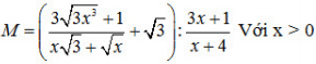
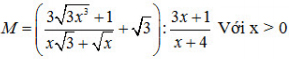
Cho biểu thức 
1. Rút gọn M.
2. Chứng minh rằng với x > 0 thì M ≥ 4. Tìm x để M = 4
Bài 3 (2, 5 điểm)
1. Tìm hai số dương biết rằng tích của hai số đó bằng 180 và nếu tăng số thứ nhất thêm 5 đồng thời bớt số thứ hai đi 3 thì tích hai số mới vẫn bằng 180.
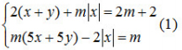
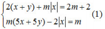
2. Cho hệ phương trình 
a. Giải hệ (1) khi m = 1
b. Chứng minh rằng nếu (x; y) là nghiệm của hệ phương trình (1) thì (x + y - 1)(5x + 5y - 1) = 2|x| - x2
Bài 4 (3,0 điểm)
Cho tam giác ABC nhọn. Nửa đường tròn đường kính AB cắt các đoạn thẳng CA, CB lần lượt tại M, N (khác A, B). Gọi H là giao điểm của AN và BM.
1. Chứng minh tứ giác CMHN nội tiếp và góc BAC + ANM = 90o.
2. Gọi (O) là đường tròn ngoại tiếp tam giác ABC. Kẻ đường kính CD của đường tròn (O). Chứng minh AH = BD.
3. Gọi I là trung điểm của AB. Đường thẳng đi qua H và vuông góc với IH cắt các cạnh CA, CB lần lượt tại P, Q. Chứng minh H là trung điểm của PQ.
Bài 5 (1,0 điểm)
Tìm x và y thỏa mãn đồng thời 2 điều kiện sau: x < y + 2 và x4 + y4 - (x2 + y2)(xy + 3x - 3y) = 2(x3 - y3 - 3x2 - 3y2)